Three and a half years after defending my dissertation, I'm happy to see that all three papers are now online 🧵 Image
My job market paper: "Do better prisons reduce recidivism?" is forthcoming at @restatjournal:

mitpressjournals.org/doi/abs/10.116…
I study the effects of prison quality on recidivism using data from Colombia.

To estimate causal effects, I leverage the quasi-random assignment of inmates to newer, less crowded, and higher service prisons.

I find that inmates assigned to newer facilities recidivate less Image
I also find suggestive evidence on three mechanisms:

1) Improvements in criminal capital
1) Depreciation of human capital for legal occupations
3) Possible retaliatory behaviors due to mistreatment Image
The second chapter: "Place-based Interventions at Scale: The Direct and Spillover Effects of Policing and City Services on Crime," coauthored with @cblatts, Don Green and @dortegaeval, is forthcoming at @JEEA_News:

academic.oup.com/jeea/advance-a…
We worked with the city of Bogotá to experiment with doubled police patrols and intensified city services on crime hot-spots.

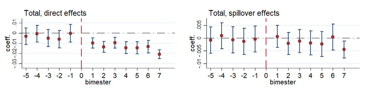
We find modest direct effects but with crime displaced nearby, especially property crimes Image
We also find suggestive evidence of a fall in homicides and sexual assaults as a result of the intervention.

The difference between aggregate effects on property and violent crime is statistically significant at conventional levels Image
The third chapter (second year paper): "The deterrent effect of surveillance cameras on crime," coauthored with @DanielMejiaL and Santiago Gómez, is forthcoming at @JPAM_DC:

onlinelibrary.wiley.com/doi/abs/10.100…
We study an installation program in Medellín and find that the quasi‐random allocation of cameras led to a decrease in crimes.

We test for spillovers and find no evidence of crime displacement or diffusion of benefits to surrounding locations Image
With no increase in the monitoring capacity and no chance to use camera footage in prosecution, these results suggest offenders were deterred rather than incapacitated Image
A long list of people to thank, starting with my wife @IsaGutierrezR.

My advisors and coauthors: @DanielMejiaL @cblatts @Adcamach @fabiosanchez_to @juanf_vargas @meslava_twit @anamibanez @H_Zuleta Don Green @dortegaeval Santiago Gomez
And many others that helped me along the way: @Abt_Thomas @aalvarezgallo @GCanavire @jccardenas1965 @MAranzazuRU @sebchaskel @kyle_holloway Sofía Jaramillo @gusduncan @jcmunozmora @BMagaloni @JimenaHurtado @van_bellegem @azambrano0 Yannick Thuy Mery Ferrando Guzmán Ourens
Also many others I didn't mention at @Uniandes @HarrisPolicy @UCLouvain_be

• • •

Missing some Tweet in this thread? You can try to force a refresh
 

Keep Current with Santiago Tobón

Santiago Tobón Profile picture

Stay in touch and get notified when new unrolls are available from this author!

Read all threads

This Thread may be Removed Anytime!

PDF

Twitter may remove this content at anytime! Save it as PDF for later use!

Try unrolling a thread yourself!

how to unroll video
  1. Follow @ThreadReaderApp to mention us!

  2. From a Twitter thread mention us with a keyword "unroll"
@threadreaderapp unroll

Practice here first or read more on our help page!

More from @SantiagoTobon

4 Mar
¿Qué justifica que el Estado intervenga?

Realmente, pocas situaciones 🧵 Image
En general:

[1] Externalidades: Las acciones de unos afectan el bienestar de otros. Un ejemplo: La contaminación del aire Image
[2] Asimetrías de información: En un acuerdo entre partes, una tiene mucha más información que la otra. Un ejemplo: La compra de medicamentos por parte de una persona Image
Read 11 tweets
12 Feb
Hablemos de razones para legalizar las drogas, especialmente la marihuana. 🧵 corto
El mercado de las drogas existe. Hacerla ilegal es renunciar a regular ese mercado.

La renuncia a regular un mercado existente, crea una oportunidad para que otros actores lo regulen.

Hoy lo regulan organizaciones criminales
Esa regulación pasa por plazas, cantidades, precios y calidad.

En Medellín, por ejemplo, se asignan monopolios locales a combos:

Cada combo tiene su pequeño monopolio de unas cuantas cuadras
Read 15 tweets
17 Dec 20
¿Deberían abrir los colegios? ¿Deberían hacerlo pronto?

En alianza con @Proantioquia1, @Comfama, @ComfenalcoAnt y @Fundacion_Exito, en @EcofinEAFIT estamos estudiando el efecto de la pandemia en la salud y la educación.

Aquí un hilo con los posibles efectos sobre la educación +
Revisamos literatura relacionada con el COVID-19 y otras enfermedades.

Se pueden identificar seis grandes efectos sobre la educación.

(1) Afectaciones inmediatas en el rendimiento escolar y la atención a clases... +
En EEUU, faltar a la escuela durante un período prolongado tiene impactos en el rendimiento estudiantil.

Además, cuando regresan, hay una amplia variación en sus habilidades académicas (Kuhfeld et al., 2020) +
Read 22 tweets
10 Nov 20
El gobierno criminal es un fenómeno grave en Colombia y otros países. Lo comprendemos y medimos poco, y las herramientas de política parecen hoy insuficientes.

En este hilo resumo 4 años de trabajo con @cblatts, @BigBigBLessing, @gusduncan y @poverty_action sobre el tema /1 Image
Todavía no tenemos un documento de trabajo para circular.

Los hallazgos preliminares los pueden encontrar en una Nota de Política CIEF de la Universidad @EAFIT (eafit.edu.co/escuelas/econo…), y en una entrada reciente en @FocoEconomico (focoeconomico.org/2020/11/03/gob…) 2/
Un Estado, diría Charles Tilly, presta seguridad, administra justicia y cobra impuestos. El gobierno criminal se da cuando estas funciones las ejerce un grupo criminal.

Muchas pandillas en Medellín, llamadas combos, pasan fácilmente esta definición. Hemos identificado ~350 /3 Image
Read 27 tweets
18 Nov 18
My son just had his 2nd bone marrow transplant. He's receiving treatment for a rare immunodeficiency. While going through this, my wife @IsaGutierrezR and I made a review of the literature. We were shocked on how limited the statistical analysis was in most of the cases 1/n
We are aware that these studies face many constraints: (i) very small sample sizes (many case studies); (ii) no opportunities for a randomized experiment. However, all studies trying to identify casual relations don't even try to meet the most basic statistical conditions 2/n
There's a common belief that economics developed sophisticated statistical tools for causal inference due to the lack of opportunities to experiment in real world settings, and that experimenting in medicine was easier. Well, this is not always true 3/n
Read 16 tweets

Did Thread Reader help you today?

Support us! We are indie developers!


This site is made by just two indie developers on a laptop doing marketing, support and development! Read more about the story.

Become a Premium Member ($3/month or $30/year) and get exclusive features!

Become Premium

Too expensive? Make a small donation by buying us coffee ($5) or help with server cost ($10)

Donate via Paypal Become our Patreon

Thank you for your support!

Follow Us on Twitter!