1/ Is Newspaper Coverage of Economic Events Politically Biased? (Lott, Hassett)

"Newspapers give more positive coverage to the same economic news when a Democrats is President than a Republican. When all news is pooled, results are highly significant."

papers.ssrn.com/sol3/papers.cf…
2/ "In 2004, 98% of CBS’s employee donations went to Democrats, 100% of NBC’s, and 81% of Fox News’.

"Based on citation patterns between politicians and media, most mainstream media outlets examined were closer to the aerage Democrat in Congress than to the median House member."
3/ "To be included, headlines had to directly or indirectly allude to economic data released that day or the day before. They were classified as +, -, neutral, or mixed based upon whether they mentioned these variables as getting better/worse according to systematic criteria."
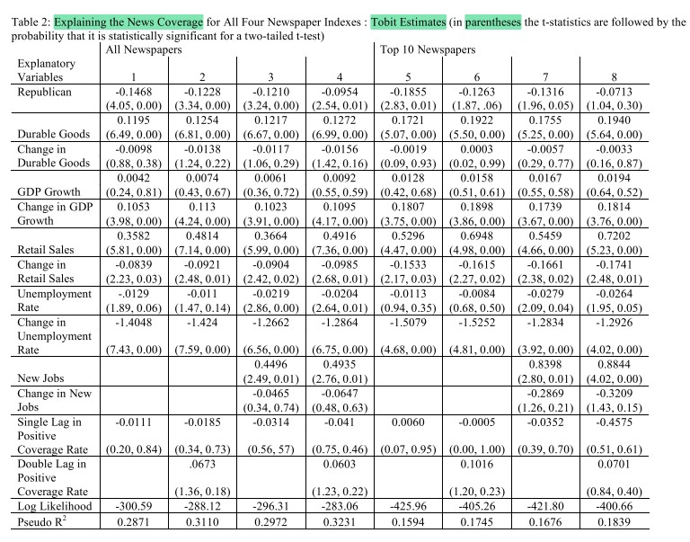
4/ "Descriptive information from these searches is presented in Table 1.

"But negative coverage could well be justified. Table 1 can’t answer the question of whether the differences in economic performance can explain the differences in news coverage."
5/ "For all newspapers together, Republicans receive 9.6-14.7 percentage points less positive coverage than Democrats (differences stat. significant at 1%) after controlling for economic content of announcements."

Results for Top 10 are less stat. significant (smaller sample).
6/ "Additional specification tests were all conducted but did not alter the basic results:

* removing lagged headlines
* recession dummy
* 9/11 dummy
* excluding AP stories
* 6-month lags for endogenous and control variables
* using squared terms for all variables and changes
7/ "The next four tables break down the partisan bias by type of economic statistic."

(Results here are less statistically significant than for Table 2, probably due to the smaller samples involved.)
8/ "The Houston Chronicle is the only newspaper that implied any consistent bias towards Republicans, but the effect wasn’t statistically significant."
9/ "For four of the top 10 newspapers and the Associated Press, it was possible to extend the sample back to the beginning of Reagan’s second term in 1985."
10/ "The headlines used by AP closely reflect headlines used by papers that use AP stories.

"After removing AP stories, the specification corresponding to the first regression in Table 2 implied that Republicans still received 16.4 pct pts fewer positive stories (t-stat -4.33)."
11/ "Despite evidence that daily newspaper readers tend to be either relatively conservative or the same as the general population (Hamilton, 2004, pp. 107-109), the results here indicate that at least among newspapers there is a systematic partisan gap in favor of Democrats."
12/ "Interestingly, even when the Republicans control both the presidency and the Congress, the increased positive coverage from complete control never offsets the direct negative effects associated with Republican control of those two branches."
13/ "Gallup Poll has regularly asked whether economic conditions have been getting better or worse.

"By matching survey questions with newspaper headlines, how positively voters evaluate the condition of the economy can be related to changes in how the media covers the economy."
14/ "We also used our data to systematically re-examine Smith’s (1988) and Groeling and Kernell’s (1998) claim that the media prefers to cover bad news.

"If there is any relationship, it is that there are more stories if the news is positive."
15/ Related reading

In Defense of Troublemakers: The Power of Dissent in Life and Business


Superforecasting


Expert Political Judgment

• • •

Missing some Tweet in this thread? You can try to force a refresh
 

Keep Current with Darren 🥚 🐣 🕊️

Darren 🥚 🐣 🕊️ Profile picture

Stay in touch and get notified when new unrolls are available from this author!

Read all threads

This Thread may be Removed Anytime!

PDF

Twitter may remove this content at anytime! Save it as PDF for later use!

Try unrolling a thread yourself!

how to unroll video
  1. Follow @ThreadReaderApp to mention us!

  2. From a Twitter thread mention us with a keyword "unroll"
@threadreaderapp unroll

Practice here first or read more on our help page!

More from @ReformedTrader

17 Apr
1/ Investing in Crises (Baron, Laeven, Penasse, Usenko)

"Returns of equity & other asset classes generally underperform after banking crises. Investors do not fully anticipate the consequences of debt overhang, which results in lower long-run dividends."

papers.ssrn.com/sol3/papers.cf… Image
2/ LCU excess (real) returns = local currency returns in excess of the local short-term interest rate (local inflation rate)

USD excess (real) returns = U.S. dollar-based returns in excess of the U.S. short-term interest rate (U.S. inflation rate) ImageImage
3/ BVX indicator uses (1) 30% banking equity index drop and (2) narrative information and credit spreads used to identify 'panic' month

LV indicator defines start of a crisis when 3 of 6 policy interventions are implemented

"Bank equity crash" = 30% drop in bank equity index ImageImageImage
Read 18 tweets
16 Apr
1/ Idiosyncratic Skewness of Commodity Futures Returns (Han, Mo, Su, Zhu)

"A novel asymmetry measure, IE, is better at capturing the effect of idiosyncratic skewness and largely accounts for the skewness effect documented in previous studies."

papers.ssrn.com/sol3/papers.cf…
2/ "We employ Jiang et al.'s new measure of idiosyncratic skewness: the excess tail probability where the probabilities are evaluated at a half SD away from the mean (zero)."

x= idiosyncratic individual commodity return based on six months of residuals using GSCI as the market
3/ "An increase in the idiosyncratic skewness will reduce the expected returns of commodities even after controlling for other characteristics. This implies that idiosyncratic skewness, as measured by IE,
captures additional information beyond those characteristics."
Read 14 tweets
16 Apr
1/ Constructing Long-Only Multi-Factor Strategies: Portfolio Blending versus Signal Blending (Ghayur, Heaney, Platt)

"For low-to-moderate factor exposures, portfolio blending works better than signal blending due to interaction effects between factors."

papers.ssrn.com/sol3/papers.cf…
2/ "We describe a basic framework for constructing average exposure-matched portfolios using the signal blending and portfolio blending approaches.

"Securities are overweighting and underweighting based on a percentile threshold (e.g., top 50% based on factor z-scores)."
3/ For *low* factor exposure portfolios, stocks are included if z-scores are in the top half.

"Given the large overlap and similarities in active weight, we expect the portfolios' performances to be similar. However, the portfolio blend generates a higher IR (0.89 vs. 0.59)."
Read 14 tweets
15 Apr
1/ Lifespan: Why We Age—and Why We Don't Have To (Sinclair and LaPlante)

"In my labs, we have both accelerated and reversed aging in model organisms and have been responsible for some of the most cited research published in top scientific journals."

amazon.com/Lifespan-Why-A…
2/ "I have come to see aging as a disease—one that not only can but should be aggressively treated.

"We have a robust understanding of what aging looks like and what it does to us and an emerging agreement about what causes it and what keeps it at bay." (p. 10)
3/ "Increasing free-radical damage or mutations in mice didn't lead to aging.

"It has proven simple to restore the function of mitochondria in old mice, indicating that a large part of aging is not due to mutations in mitochondrial DNA, at least not until late in life.
Read 73 tweets
11 Apr
1/ SuperFreakonomics (Levitt and Dubner)

"People respond to incentives, although not necessarily in ways that are predictable or manifest. Therefore, one of the most powerful laws in the universe is the law of unintended consequences."

amazon.com/SuperFreakonom…
2/ "Compared with the total number of people killed in alcohol-related traffic accidents each year—about 13,000—the number of drunk pedestrians is relatively small. But when you’re choosing whether to walk or drive, the overall number isn’t what counts.
3/ "Per mile traveled, a drunk walker is eight times more likely to get killed than a drunk driver.

"Even after factoring in the deaths of innocents, walking drunk leads to five times as many deaths per mile as driving drunk." (p. 3)
Read 87 tweets
11 Apr
1/ After (Bruce Greyson)

"Near-death experiences are not a new phenomenon. There are accounts from ancient Greek/Roman sources, all the major religious traditions, indigenous populations worldwide, and medical literature of the 19th/20th centuries." (p.9)
amazon.com/After-Doctor-E…
2/ This is the author's Wikipedia page:

"Greyson is Professor Emeritus of Psychiatry and Neurobehavioral Sciences at the University of Virginia and a Professor of Psychiatric Medicine in the Department of Psychiatric Medicine at UVA."

en.wikipedia.org/wiki/Bruce_Gre…
3/ "Nothing in my background or scientific training had prepared me to deal with such a frontal assault on my worldview. I had been raised by a no-nonsense skeptical father, for whom life was chemistry, and I followed his lead in forging my own career as a mainstream scientist.
Read 130 tweets

Did Thread Reader help you today?

Support us! We are indie developers!


This site is made by just two indie developers on a laptop doing marketing, support and development! Read more about the story.

Become a Premium Member ($3/month or $30/year) and get exclusive features!

Become Premium

Too expensive? Make a small donation by buying us coffee ($5) or help with server cost ($10)

Donate via Paypal Become our Patreon

Thank you for your support!

Follow Us on Twitter!