Trabalho interessantíssimo da @fiocruz traz evidências de que o coronavírus reativa um vírus primitivo presente há milênios no seres humanos.

A hipótese é que essa reativação possa estar envolvida no agravamento e morte por covid 🧵
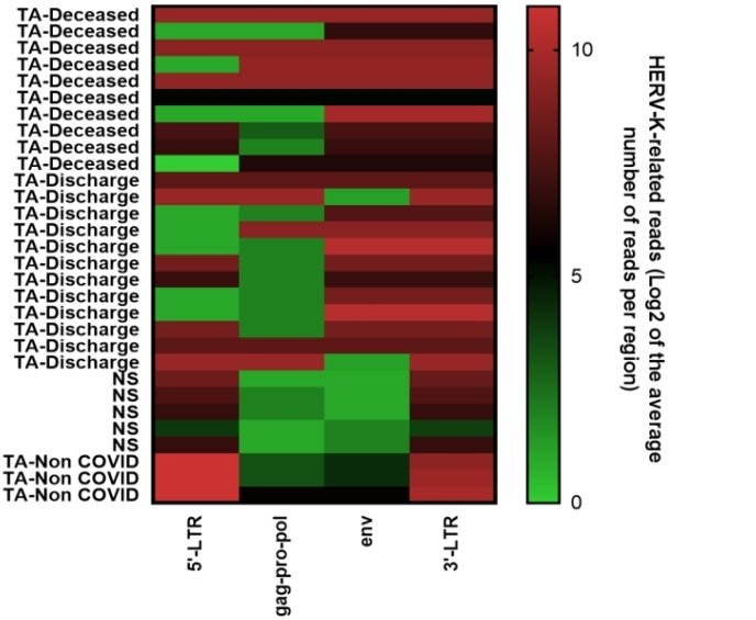
O estudo analisou o viroma (conjunto de vírus) de amostras aspiradas da traqueia de pacientes com covid em ventilação mecânica.

Nessas amostras foi constatada grande presença do vírus primitivo HERV-K, em comparação às de pacientes com casos leves e de pessoas não infectadas.
O HERV-K é um retrovírus endógeno, um vírus ancestral que infectou o genoma humano quando humanos e chimpanzés estavam se dissociando na escala evolutiva. Alguns desses elementos genéticos estão presentes nos nossos cromossomos.
Muitos ficam silenciosos durante a maior parte da vida, mas ao que parece o Sars-CoV-2 pode ter reativado esse retrovírus.
O índice de morte em pacientes graves de covid-19 chega a 50% entre os que apresentam altos níveis de HERV-K.
Os pesquisadores também infectaram em laboratório uma célula de uma pessoa saudável com o Sars-CoV-2, verificando que houve um aumento nos níveis do HERV-K.
“A gente estabeleceu, de fato, que o Sars-CoV-2 é o gatilho para o aumento desses retrovírus endógenos, para despertar os genes silenciosos”, disse Thiago Moreno, coordenador do estudo à Agência Fiocruz de Notícias.
Artigo científico, ainda em versão preprint:

researchsquare.com/article/rs-514…
Aproveito para parabenizar toda equipe por esse trabalho fantástico! 🇧🇷

Um salve especial para a Emilly Caroline Moraes, uma das autoras, que eu sigo aqui no Twitter @futbobagens

👏👏👏
É isso! A coragem desse pessoal me emociona. Por favor, lutemos todos por recursos para a ciência.

[Esclarecendo - c/ajuda de @waggybiomed e @015watson]

O HERV-K não é um vírus como HIV e o Sars-CoV-2, que ficam circulando por aí.

Num passado muito distante sim, ele circulou, infectou nossos ancestrais, e incorporou trechos do seu genoma no genoma deles+
Nós herdamos essas sequências. Mas em geral elas ficam lá, paradinhas, ou seja, os genes não são expressos.

Mas alguns vírus, como Sars-CoV-2 (em tese), têm o poder de reativar a expressão desses genes.

"Acesos", tais genes passam a expressar proteínas do vírus antigo+
E daí o que temos? Proteínas virais formando um "quase vírus", ou em linguagem de biólogo, partículas semelhantes a vírus. Não é preciso nem montar o vírus inteiro para já fazer estrago no organismo+
Essas partículas, como tudo que nosso corpo reconhece como agressor, geram resposta inflamatória.

O problema é que o paciente com covid já pode já estar com essa resposta exagerada. Lembra da "tempestade inflamatória" que o Sars-CoV-2 causa? Pois é!
Isso atinge vários órgãos e, se confirmados os resultados dessa pesquisa, aumentar fortemente a taxa de mortalidade.

• • •

Missing some Tweet in this thread? You can try to force a refresh
 

Keep Current with Luiza Caires - jornalista de ciências

Luiza Caires - jornalista de ciências Profile picture

Stay in touch and get notified when new unrolls are available from this author!

Read all threads

This Thread may be Removed Anytime!

PDF

Twitter may remove this content at anytime! Save it as PDF for later use!

Try unrolling a thread yourself!

how to unroll video
  1. Follow @ThreadReaderApp to mention us!

  2. From a Twitter thread mention us with a keyword "unroll"
@threadreaderapp unroll

Practice here first or read more on our help page!

More from @luizacaires3

23 May
Híbridos humanos-robôs estão em vários episódios da ficção Love, Deaths & Robots.

Mas nos laboratórios da vida real pesquisas caminham em direção a esta integração.

Imagina o que poderíamos fazer com um dedão a mais🤖🖐️

Será que nosso cérebro reconheceria essa nova parte?🧶👇 Foto. Uma moça olha para sua mão espalmada em que um dedo
Os primeiros indícios apontam para o "sim'', desde que treinado. Uma equipe da University College London treinou pessoas para usar um polegar robótico extra e descobriu que elas podiam realizar tarefas que exigem habilidade, como construir uma torre de blocos, com só uma mão.
Numa avaliação subjetiva, os participantes também relataram sentir cada vez mais que o dedo extra fazia parte de seu corpo... Foto. Mão usando o 'Terceiro Polegar' para completar uma da
Read 12 tweets
21 May
🦠Até um terço das pessoas infectadas pela variante P.1 do coronavírus em Manaus podem ter sido casos de reinfecção, estima estudo.

Trabalho reafirma importância de quem já se contaminou continuar se protegendo 😷👇 Image
Saiba mais na matéria do Jornal da USP:

jornal.usp.br/ciencias/ate-u…
Trabalho do @CaddeProject em artigo verão preprint (sem revisão):
medrxiv.org/content/10.110…
Read 4 tweets
7 May
🦟 🤝 🦠

Infecção prévia por dengue é associada a risco aumentado de covid

Lembram que chegou a se cogitar que a dengue oferecia proteção cruzada contra o coronavírus?

Novo estudo sugere o contrário 👇
Cientistas da USP estudaram a presença de anticorpos para o vírus da dengue e o SARS-CoV-2 em residentes de Mâncio Lima, no Acre. As amostras de sangue foram retiradas antes e depois da primeira onda da pandemia.
As causas não foram determinadas, lembrando que este é um estudo de associação. Pode ser que as condições sociais da população atingida favoreçam a correlação.
Read 8 tweets
29 Apr
💏O que faz, num casal que vive junto, divide cama (e às vezes até sabonete da pia no banho), um ter covid e outro não? 🦠

🧬A genética pode não dar todas respostas, mas com certeza tem parte importante nisso

Os magos do genoma humano já estão correndo atrás de entender 👇🧶 Ilustração mostra casal se beijando de máscara envolto po
Pesquisadores de USP, Unesp e Fleury identificaram genes do sistema imune que podem ajudar no entendimento.

Eles compararam 86 "casais discordantes". Termo que parece redundante, mas neste caso não diz respeito à briga sobre levar o lixo - e sim que só um desenvolveu a doença.
Os genes candidatos são conhecidos como MICA e MICB e pertencem ao chamdo 'complexo principal de histocompatibilidade', no cromossomo 6.

Essas moléculas já foram descritas em estudos anteriores e estão associadas ao estresse celular, em situações como câncer e infecções. Figura mostra localização dos genes no cromossomo 6Figura mostra estrutura molecular do complexo MHC
Read 11 tweets
28 Apr
Lesões em órgãos revelam efeitos de síndrome ligada à covid grave em crianças

Pesquisa da Faculdade de Medicina da USP identificou lesões em todos os órgãos vitais em decorrência do coronavírus em crianças que morreram da doença 👇🧶
As lesões estão associadas à Síndrome Inflamatória Multissistêmica Pediátrica (SIM-P), responsável por complicações cardíacas, gastrointestinais e neurológicas.
O resultado reforça a importância de investigar se há covid-19 em crianças com febre persistente, mesmo que tenham manifestações clínicas diferentes.
Read 6 tweets
27 Apr
🧬🦠O quanto a genética influencia a resposta do nosso sistema imune ao coronavírus?

Um grupo de cientistas brasileiros começa a procurar respostas.

Em uma das pesquisas, eles estudaram gêmeos idênticos que testaram positivo para a covid mas tiveram quadros diferentes👇
Em um dos casos, eles verificaram que a resposta celular de uma das gêmeas foi deficiente. Os pesquisadores sugerem que a explicação pode estar na construção da memória imunológica, distanciada dos fatores genéticos.
Para Mateus Vidigal, um dos autores do estudo, a hipótese é que, ao longo da vida, através de mutações pós-nascimento, e nas variadas experiências envolvendo patógenos e diferentes exposições a antígenos, cada uma das irmãs desenvolveu diferentes respostas imunes.
Read 4 tweets

Did Thread Reader help you today?

Support us! We are indie developers!


This site is made by just two indie developers on a laptop doing marketing, support and development! Read more about the story.

Become a Premium Member ($3/month or $30/year) and get exclusive features!

Become Premium

Too expensive? Make a small donation by buying us coffee ($5) or help with server cost ($10)

Donate via Paypal Become our Patreon

Thank you for your support!

Follow Us on Twitter!

:(