Thinking about clean teaching alternative to IS-LM. Ditch LM for monetary policy rule: i = a(Y - Yfe) + b
Yfe is fixed (later removed), level model and of course fixed prices.
Prior to working the model, one can spend a week talking monetary policy, role of liquidity preference.
Then talk about policy effectiveness and coordination of policies too. Thoughts from anyone?
also talk a bit about banking and endogenous money before introducing the model.
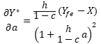
Report of progress. The first-order partial derivative of the equilibrium income level relative to the reactivity of the central bank is positive if the economy is underemployed (h sensitivity of I to i, c MPC, b is the reactivity of central bankers to output gap) Image
Basically, the interest rate falls faster if the economy is underemployed and so equilibrium income is higher. Graphically Image
Images did not paste correctly, there are a few dividers missing in the derivative (oddly one showed up), but it is easy to see where they are missing.
Whoops, should be a, not b, in the first derivative! Image

• • •

Missing some Tweet in this thread? You can try to force a refresh
 

Keep Current with Eric Tymoigne

Eric Tymoigne Profile picture

Stay in touch and get notified when new unrolls are available from this author!

Read all threads

This Thread may be Removed Anytime!

PDF

Twitter may remove this content at anytime! Save it as PDF for later use!

Try unrolling a thread yourself!

how to unroll video
  1. Follow @ThreadReaderApp to mention us!

  2. From a Twitter thread mention us with a keyword "unroll"
@threadreaderapp unroll

Practice here first or read more on our help page!

More from @tymoignee

15 Jun
Just finished a piece on secular stagnation and interest rate. Developed version of what I send a few month ago to Trust and Estate magazine. Here are the main points:
1- key driver of interest-rate trend is monetary policy. It is not inflation, fiscal balance, or credit rating.
2- to make sense of what interest rates will do in the future, need to make expectations about what FOMC will do
3- low-growth + high leverage economy makes it difficult for FOMC to raise rate quickly and much + low inflation will persist no incentive to raise policy rates much.
4- growing inequalities, jobless recovery, growing job precariousness, lack of shared prosperity => we can expect low rate to last for a decade or more unless policies are put in place to reverse stagnationist forces.
Read 14 tweets
26 Nov 20
This "bitcoin is better than gold" statement going around once more show that bitcoiners have no clue about monetary history and what the purpose of a monetary system is. A thread.
1- Metal standards were never inflexible; they could not in order to operate properly. Qty of metal was changed, usually lowered, to accommodate for changing economic conditions: price of metal, scarcity of coins, financial needs of economic units (state and private), etc.
2- The purpose of a monetary system is to make the rest of the economy go. It is there to accommodate financial needs. The more elastic one can design the supply, the better.
That doesn't mean that monetary creation & destruction shouldn't follow any rules & have no constraint.
Read 12 tweets
26 Nov 20
@dr_nrl @ShaneOliverAMP @bitterlion @stf18 @StephanieKelton @rch371 @NathanTankus @rohangrey @RaulACarrillo @billy_blog Quick comments on the "Keypoints"
1- MMT is not pro-monetary financing. We don't want to change central bank-treasury financial relation. We show that current/routine/normal financial relation ensure no financial constraint & that, as such, deficits are a financially sustainable.
@dr_nrl @ShaneOliverAMP @bitterlion @stf18 @StephanieKelton @rch371 @NathanTankus @rohangrey @RaulACarrillo @billy_blog 2- Yes below full emp there are free lunch/no opportunity cost. Unemp ressources are left unused. MMT did careful analysis of JG, GND, & student debt relief. Cost of JG is small in normal times GND is manageable if we start now (costlier the longer we wait). Benefits are large.
@dr_nrl @ShaneOliverAMP @bitterlion @stf18 @StephanieKelton @rch371 @NathanTankus @rohangrey @RaulACarrillo @billy_blog 2 (bis)- We are not for monetary financing. We are not for deficit either. We just note that deficit is a usual outcome (and explain why) and that fiscal balance is not a proper policy goal bc gov has little control over it (most G is non-discretionary, T is highly procyclical).
Read 7 tweets
24 Nov 20
Ok. In the mood of sharing a recipe:

Ham and Cheese Cake:

Ingredients:
4 eggs
200g of flower
300g of ham
200g of shredded cheese
1/2 expresso cup of milk
1 expresso cup of oil
One soup spoon of yeast
One loaf pan that is buttered and floured
1- Shred the ham
2- Beat the eggs
3- Mix flower and yeast and add bit by bit to eggs
4- Add ham and cheese and mix well
5- Put in loaf pan
6- Cook at 230F for 15 min
7- Cook at 390f for 45 min
Done.
Final product
Read 4 tweets
24 Sep 20
An animated GIF of the financial balances through time. OECD countries. DPB: Domestic private sector balance, GB: Government balance, FB: Foreign balance.
DPB + GB + FB = 0
It looks to me that we can detect a cycle that reflects the business cycle. Start NE, goes SW, goes E, goes N. Start again. May be I am reading too much into it.
Better quality. made with this ezgif.com/maker
Read 5 tweets
23 Sep 20
The sectoral balance identity, 2015-2019 average (2018 for some), % of GDP. Source: OECD
DPB + GB + FB = 0
DPB: Domestic Private Balance
GB: Government Balance
FB: Foreign Balance
For more on how the graph is constructed: nakedcapitalism.com/2010/03/parent…
Whoops, forgot to change on of the label from data ("0.35") to country. You've got to do it manually, a real pain in the behind.
Read 4 tweets

Did Thread Reader help you today?

Support us! We are indie developers!


This site is made by just two indie developers on a laptop doing marketing, support and development! Read more about the story.

Become a Premium Member ($3/month or $30/year) and get exclusive features!

Become Premium

Too expensive? Make a small donation by buying us coffee ($5) or help with server cost ($10)

Donate via Paypal Become our Patreon

Thank you for your support!

Follow Us on Twitter!

:(