Hablemos de la lotería de la cuna:

Si están convencidos de que su éxito se debe exclusivamente a su esfuerzo y capacidad, están MUY EQUIVOCADOS.

Una parte importante de nuestra vida parcialmente determinada desde la primera infancia. 🧵 corto
Nuestra capacidad de emprender, asumir riesgos, tomar decisiones adecuadas, ser productivos, etc., dependen de nuestras habilidades:

- Cognitivas, como el razonamiento matemático
- No cognitivas, como nuestra capacidad de relacionamiento
Carneiro y Heckman 2003, Heckman y
Masterov 2004, Cunha et al. 2006, muestran que:

- Las habilidades se desarrollan principalmente en la primera infancia

- Los padres con más recursos son más exitosos en producir en sus hijos estas habilidades
Esto se relaciona, entre otras cosas, con la mayor capacidad económica. Los padres tienen:

- Más recursos para invertir en programas de educación temprana
- Más ayuda para cubrir por sus ausencias físicas y emocionales
- Más conocimiento para orientar la formación de sus hijos
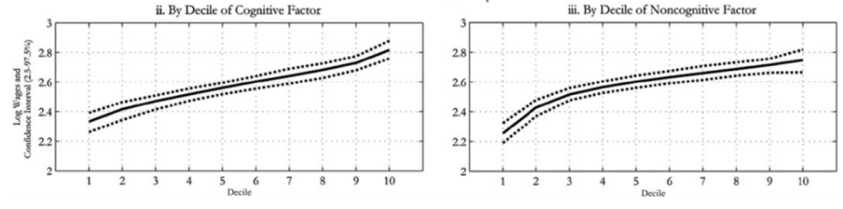
Heckman et al. 2006 estudian los efectos de las habilidades de base sobre el futuro de las personas.

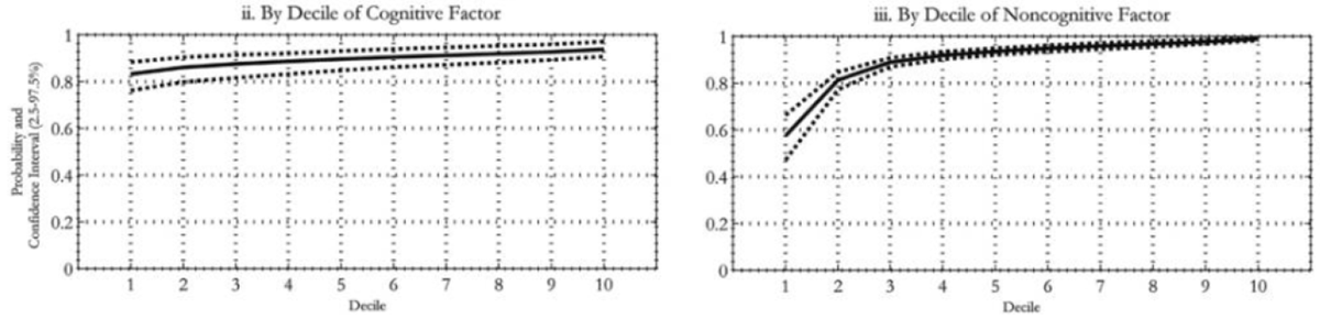
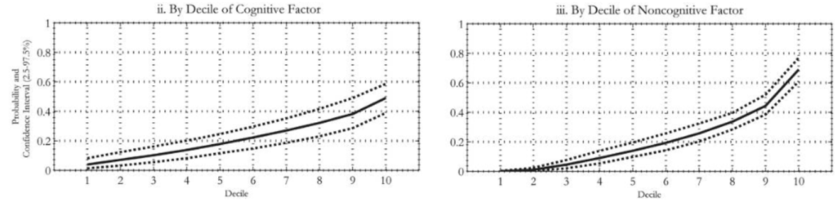
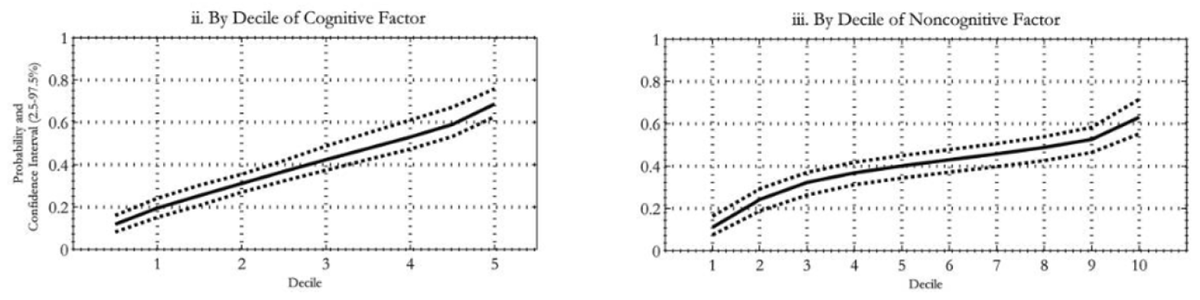
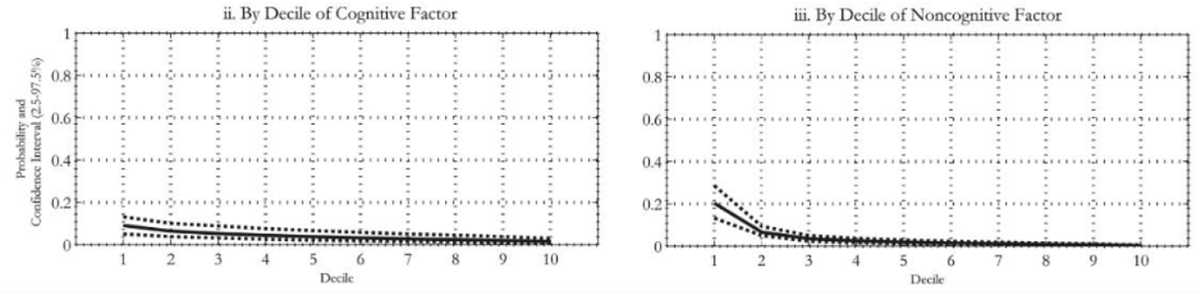
Las siguientes gráficas muestran la relación entre habilidades antes de los cinco años (partidas por deciles en el eje horizontal) y varios factores medidos en la adultez:
1. Las personas con más habilidades cognitivas (izquierda) y no cognitivas (derecha) en la niñez tienen mayores salarios en su adultez
2. Las personas con más habilidades cognitivas y no cognitivas en la niñez tienen más probabilidad de estar empleados en la adultez
3. Las personas con más habilidades cognitivas y no cognitivas en la niñez tienen más probabilidades de obtener un trabajo más calificado y mejor pago en la adultez
4. Las personas con más habilidades cognitivas y no cognitivas en la niñez tienen más probabilidades de terminar un pregrado en la adultez
5. Las personas con más habilidades cognitivas y no cognitivas en la niñez tienen menos probabilidades de ser encarcelados en la adultez
Entonces si crecieron entre privilegios (como lo hice yo), no se crean el cuento de que es sólo por su esfuerzo y dedicación.

Fue por suerte, porque se ganaron la lotería de la cuna
Para los interesados, el último paper que referencié: journals.uchicago.edu/doi/abs/10.108…

• • •

Missing some Tweet in this thread? You can try to force a refresh
 

Keep Current with Santiago Tobón

Santiago Tobón Profile picture

Stay in touch and get notified when new unrolls are available from this author!

Read all threads

This Thread may be Removed Anytime!

PDF

Twitter may remove this content at anytime! Save it as PDF for later use!

Try unrolling a thread yourself!

how to unroll video
  1. Follow @ThreadReaderApp to mention us!

  2. From a Twitter thread mention us with a keyword "unroll"
@threadreaderapp unroll

Practice here first or read more on our help page!

More from @SantiagoTobon

2 Sep
Hablemos de mejores prácticas policiales:

¿Intensificar patrullaje en puntos calientes de crimen reduce la delincuencia?

Les contaré de los dos experimentos más grandes sobre patrullaje en puntos calientes que se han hecho en el mundo, en Medellín y Bogotá 🧵
La intervención en Medellín fue implementada por la Policía Metropolitana en 2015.

En la evaluación trabajamos @DanielMejiaL, @dortegaeval, #DanielaCollazos, #EduardoGarcía y yo.
Identificamos cerca de 1,000 puntos calientes que representan el 3% del total de calles, recibían el 8% del tiempo de patrullaje, y allí ocurrían el 33% de los delitos.

Aleatoriamente asignamos 400 para ser intervenidos, aumentando el tiempo de patrullaje en un 50%
Read 14 tweets
26 Aug
La ley de borrón y cuenta nueva que acaba de avalar la Corte Constitucional, afectará a la población más pobre de Colombia.

Parece un proyecto con buenas intenciones, pero sus consecuencias son profundamente regresivas
Cuando los bancos van a prestar dinero a alguien, tienen que establecer el precio (la tasa) en función del perfil de riesgo del cliente.

Como esto es imposible de saber con certeza, los bancos tienen que estimar este riesgo a partir de la información disponible
Esta información va, en términos generales, en dos partes:

1. Los activos e ingresos de la persona (mientras más se tenga, el crédito es menos riesgoso)

2. La historia crediticia (mientras mejor haya pagado antes, el crédito es menos riesgoso)
Read 6 tweets
25 Aug
Sigamos hablando de la lotería de la cuna y la desigualdad de oportunidades.

Esta es la historia de un hombre que llamaré Andrés, a quien entrevistamos en 2017 en Medellín.

Andrés nació en uno de los barrios más pobres de la ciudad, a finales de los años setenta...
Tenía trece años cuando le ocurrieron los hechos que les voy a contar.

La historia parece inverosímil, por lo dramática, pero con otras entrevistas pudimos verificar que los hechos son ciertos.
Un día, Andrés se enteró que su hermana había desaparecido.

Un hombre la llevó a un bosque para acosarla sexualmente. Andrés fue a defenderla y se generó un conflicto con un combo vecino, al que pertenecía el agresor.
Read 17 tweets
20 May
Hablemos de legalizar la cocaína:

En este 🧵 discuto por qué la guerra contra la cocaína nunca va a funcionar y debe implementarse la alternativa: la "no guerra" contra la cocaína
Un mercado se compone de la demanda y la oferta, y el precio es el mecanismo que las ajusta.

Cuando hay poca demanda y mucha oferta por un bien, el precio baja.

Cuando hay mucha demanda y poca oferta por un bien, el precio aumenta.
Supongamos que un bien tiene mucha demanda y poca oferta, y su precio es alto.

Si es fácil entrar a esa industria, el precio alto va a incentivar nuevos oferentes.

Si es difícil entrar a esa industria, los actuales oferentes van a disfrutar rentas altas (monopolísticas)
Read 16 tweets
4 Mar
¿Qué justifica que el Estado intervenga?

Realmente, pocas situaciones 🧵
En general:

[1] Externalidades: Las acciones de unos afectan el bienestar de otros. Un ejemplo: La contaminación del aire
[2] Asimetrías de información: En un acuerdo entre partes, una tiene mucha más información que la otra. Un ejemplo: La compra de medicamentos por parte de una persona
Read 11 tweets
2 Mar
Three and a half years after defending my dissertation, I'm happy to see that all three papers are now online 🧵 Image
My job market paper: "Do better prisons reduce recidivism?" is forthcoming at @restatjournal:

mitpressjournals.org/doi/abs/10.116…
I study the effects of prison quality on recidivism using data from Colombia.

To estimate causal effects, I leverage the quasi-random assignment of inmates to newer, less crowded, and higher service prisons.

I find that inmates assigned to newer facilities recidivate less Image
Read 13 tweets

Did Thread Reader help you today?

Support us! We are indie developers!


This site is made by just two indie developers on a laptop doing marketing, support and development! Read more about the story.

Become a Premium Member ($3/month or $30/year) and get exclusive features!

Become Premium

Too expensive? Make a small donation by buying us coffee ($5) or help with server cost ($10)

Donate via Paypal Become our Patreon

Thank you for your support!

Follow Us on Twitter!

:(