Machine learning is more than function fitting.

Even though most of us are introduced to the subject through this example, fitting functions to a training dataset seemingly doesn't give us any deep insight about the data.

This is what's working behind the scenes!

🧵 👇🏽
Consider a simple example: predicting the value 𝑦 from the observation 𝑥; for instance 𝑦-s are real estate prices based on the square footage 𝑥.

If you are a visual person, this is how you can imagine such dataset.
The first thing one would do is to fit a linear function 𝑓(𝑥) = 𝑎𝑥 + 𝑏 on the data.

By looking at the result, we can see that something is not right. Sure, it might capture the mean value for a given observation, but the variance and the noise in the data is not explained.
Next, we might try to fit a more expressive function, say a polynomial, but that only seems to make things worse by potentially overfitting on the training dataset.

We need an entirely different model to really explain the dataset.
This is where probabilities come in.

Instead of a deterministic function, we estimate the probability distribution of the observations.

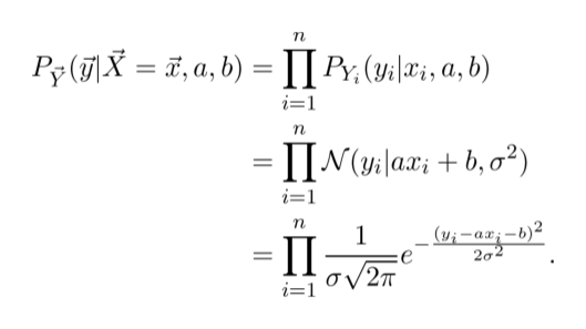
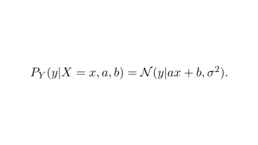
If 𝑋 is the distribution of our data and 𝑌 is the corresponding observation, we can model their relation with a Gaussian distribution.
We can fit this model by maximizing the likelihood function.

Essentially, for a given set of parameters 𝑎 and 𝑏, the likelihood describes the probability that we observe the training data.

The higher it is, the better the model fits.
It turns out that maximizing the likelihood is the same as minimizing the Mean Squared Loss!

(Don't worry about the computational details yet, I'll have you covered soon.)
The result?

A probabilistic model that explains the entire dataset, not just its mean. Every time you fit a linear regressor, probability and statistics are working in the background.
Of course, there is much more behind the surface.

If you are interested in the technical details, check out my post below!

(All mathematical prerequisites on probability are covered.)

tivadardanka.com/blog/the-stati…

• • •

Missing some Tweet in this thread? You can try to force a refresh
 

Keep Current with Tivadar Danka

Tivadar Danka Profile picture

Stay in touch and get notified when new unrolls are available from this author!

Read all threads

This Thread may be Removed Anytime!

PDF

Twitter may remove this content at anytime! Save it as PDF for later use!

Try unrolling a thread yourself!

how to unroll video
  1. Follow @ThreadReaderApp to mention us!

  2. From a Twitter thread mention us with a keyword "unroll"
@threadreaderapp unroll

Practice here first or read more on our help page!

More from @TivadarDanka

16 Sep
Data similarity has such a simple visual interpretation that it will light all the bulbs in your head.

The mathematical magic tells you that similarity is given by the inner product. Have you thought about why?

This is how elementary geometry explains it all.

↓ A thread. ↓ Image
Let's start in the beginning!

In machine learning, data is represented by vectors. So, instead of observations and features, we talk about tuples of (real) numbers. Image
Vectors have two special functions defined on them: their norms and inner products. Norms simply describe their magnitude, while inner products describe
.
.
.
well, a 𝐥𝐨𝐭 of things.

Let's start with the fundamentals! Image
Read 11 tweets
14 Sep
You are (probably) wrong about probability.

If I toss a fair coin ten times and it all comes up heads, what is the chance that the 11th toss will also be heads? Many think that it'll be highly unlikely. However, this is incorrect.

Here is why!

↓ A thread. ↓
In probability theory and statistics, we often study events in the context of other events.

This is captured by conditional probabilities, answering a simple question: "what is the probability of A if we know that B has occurred?".
Without any additional information, the probability that eleven coin tosses result in eleven heads in a row is extremely small.

However, notice that it was not our case. The original question was to find the probability of the 11th toss, given the result of the previous ten.
Read 10 tweets
1 Sep
The early access of my Mathematics of Machine Learning book is launching today!

One chapter per week, we go from basics to the internals of neural networks. We are starting with vector spaces, the scene where machine learning happens.

Here is why they are so important!

🧵 👇🏽
As you probably know, data is represented by vectors.

Data points are just tuples of measurements. In their raw form, they are hardly useful for us. They are just blips in space.
Without operations and transformations, it is difficult to predict class labels or do anything else.

Vector spaces provide a mathematical structure where operations naturally arise.

Instead of a blip, just imagine an arrow pointing to the data point from a fixed origin.
Read 11 tweets
27 Aug
The Mathematics of Machine Learning book early release is launching in September 1st! Exciting times are ahead :)

If you are interested in understanding the mathematics of machine learning, this is the book for you.

tivadar.gumroad.com/l/mathematics-…
In the early access program, I'll release the sections of this book as I write them.

During our time together, my goal is to guide you through the inner workings of machine learning, from high school mathematics to backpropagation.
This is the release calendar for 2021.

Part 1: Linear algebra

1. Vector spaces (September 1st)
2. Normed spaces (September 8th)
3. Inner product spaces (September 15th)
4. Linear transformations (September 22th)
Read 7 tweets
13 Aug
How to build a good understanding of math for machine learning?

I get this question a lot, so I decided to make a complete roadmap for you. In essence, three fields make this up: calculus, linear algebra, and probability theory.

Let's take a quick look at them!

🧵 👇
1. Linear algebra.

In machine learning, data is represented by vectors. Essentially, training a learning algorithm is finding more descriptive representations of data through a series of transformations.

Linear algebra is the study of vector spaces and their transformations.
Simply speaking, a neural network is just a function mapping the data to a high-level representation.

Linear transformations are the fundamental building blocks of these. Developing a good understanding of them will go a long way, as they are everywhere in machine learning.
Read 15 tweets
12 Aug
How you play determines who you are.

You might be surprised, but I gained a lot from playing games. Board games, video games, all of them. Playing is a free-time activity, but it can teach a lot about life and work.

This thread is about the most important lessons I learned.
1. Taking responsibility for your mistakes.

Mistakes are the best way to learn, but you can do so by taking responsibility instead of looking for excuses. Stop blaming bad luck, lag, teammates, or anything else.

Be your own critic and identify where you can improve.

2/8
2. Actively focus on improvement.

Contrary to popular belief, "just doing it" is not an effective way to learn. Identifying flaws in your game, setting progressive goals, and keeping yourself accountable relentlessly supercharges the process. Play (work) with purpose.
Read 8 tweets

Did Thread Reader help you today?

Support us! We are indie developers!


This site is made by just two indie developers on a laptop doing marketing, support and development! Read more about the story.

Become a Premium Member ($3/month or $30/year) and get exclusive features!

Become Premium

Too expensive? Make a small donation by buying us coffee ($5) or help with server cost ($10)

Donate via Paypal Become our Patreon

Thank you for your support!

Follow Us on Twitter!

:(