My Authors
Read all threads
Muchas veces veis representaciones de grafos de partidos de fútbol, como el de esta imagen, ¿pero qué información podemos obtener más allá de la propia imagen? 👇 Hilo.
#BigData #Futbol
Lo primero es definir nodo y conector. Nodo es el jugador, y se posiciona sobre la coordenada promedio donde recibe los pases, y se conecta con otro jugador de A->B y de B->A. Es lo que llamamos bidireccional. Para mi esta conexión es cuando hay 3 pases al menos.
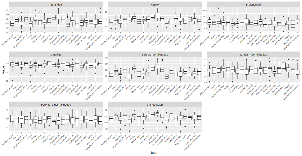
La Densidad, de 0 a 1, siendo 1 cuando todos los jugadores se conectan con el resto. Cuando un equipo tiene una densidad alta hablamos de juego combinativo, y densidad baja juego directo que además podremos ver con conexiones entre nodos de lineas defensivas con nodos de ataque.
Aquí podemos ver dos equipos, uno con densidad alta y otro con densidad alta, y derrota y victoria. Y es que la densidad nos ayuda a enteder el modelo de juego no a predecir un resultado.
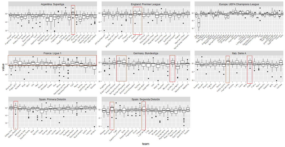
En la siguiente imagen podemos ver el gráfico bloxplot de los equipos en las principales competiciones marcados en rojos equipos de densidad alta (combinativo) y en verde densidad baja (directo)
La Transitividad. El grado de interconexion entre nodos adyacentes. Equipos de baja de transitividad nos daría un juego directo, dado que un jugador no combina con sus cercanos. Es más restrictivo que la densidad al no contar con conexiones entre nodos no adyacentes
Veamos en la imagen un partido de un equipo con baja y alta transitividad. Por ejemplo vemos el Borussia como casi todos los nodos conectan con sus adyacentes, como el portero.
En las principales ligas valores de transitividad. Las diferencias son menores respecto con la densidad dado que solo se tiene en cuenta que combines con tus adyacentes. La densidad pues nos habla de un juego combinativo y directo siendo la transitividad más combinativa.
Incluso podemos comparar ambas métricas en las grandes ligas. Interesante la poca densidad (mediana de equipo) en la superliga argentina pero de transitividad alta, es decir juego muy combinativo y menos uso del juego en largo (la densidad requiere de conexiones nodos no ady)
Las diadas. Vimos que dos jugadores (A y B) pueden estar conectados de A -> B, de B -> A, A <- -> B y no estarlo. Así podemos calcular el número de duplas conectadas por 1, 2 y 0. P.ej. No = combinar con 1 enlace que por 2, están igual de conectados pero la circulación es mayor
Para no hacer muy largo el hilo veamos las diadas nulas, cuando dos jugadores no se pasan o se pasan la pelota 2 o menos veces. Veamos dos grafos con duplas no conectadas altas y bajas.
Vamos a ver para las grandes competiciones los valores por equipos de diadas nulas. Equipos de baja circulación y combinación, de juego muy directo.
Ahora veamos métricas de localización y forma del grafo como son la distancia a porteria, amplitud y profundidad porque nos dan información sobre los modelos de juego de un equipo
Distancia a porteria. Que la Coordenada promedio del grafo nos hablará de la altura del bloque, incluso podríamos sacar la altura de las líneas, y ver en fase de inicio, creación y finalización de la distancias, y poder analizar bloques altos, medios, o bajos.
Vemos dos equipos, uno con distancia baja con zonas de creación alejadas de la porteria rival, y equipos de posición muy alta, con muchos jugadores en campo rival.
Ahora vemos la distancia a porteria de cada equipo en grandes competiciones. Getafe y Eibar con los grandes de Europa. Poco más que añadir.
Amplitud. Es la "anchura del grafo" en el campo, equipos con mucha amplitud, con juego en carriles exteriores, o creación de espacios en carril central, acumular jugadores en zona finalización y por delante del balón.
Vemos dos equipos con amplitud muy baja y amplitud muy alta.
Y ahora vemos los resultados para todos los equipos por competición. Interesante ver como en Francia la mayoria juega con una amplitud por encima del promedio de todas las competiciones
Profundidad. Es la longitud del grafo desde el primer defensa al ultimo jugador en punta que participa del grafo. Interesante para ver equipos que obligan a fijación de marcas muy adelantadas, progresiones por carriles de los MC.
Veamos dos equipos con profundidades altas y bajas.
Veamos ahora la distribución de profundidades de cada equipo por competición
Podemos ver como se relacionan la amplitud y la profundidad, y como tamaño del punto la distancia a porteria. Vemos los equipos marcados con más amplitud y profundidad y menos amplitud y profundidad
Hemos visto métricas del grafo, pero también tenemos 4 métricas útiles de los jugadores, el grado, el eigenvector, la centralidad y la intermediación. Vamos una por una.
El Grado de un jugador. Es el número de conexiones que tiene un jugador (totales,entrantes o salientes) En este caso podemos ver totales, y podría ser el caso de un jugador que se combina con todos los jugadores del equipo (no cuento al portero) o bajo, con menos de 4 por ejemplo
Veamos un jugador, Fred del Manchest United, con mucho grado y con bajo grado, pero posición de MC, que son los que más deberían que combinar.
Ahora podemos ver los 20 jugadores con más grado promedio en todos sus partidos. Los jugadores que más combinan con su entorno. Grado total (conexiones salientes y entrantes)
La Centralidad (Cercania). Es la capacidad de un jugador de acceder a otro jugador. Cuanta más cercania más probabilidad de que un balón vaya a un jugador desde ese jugador.
La Intermediación. Cuantifica el número de veces que un jugador actúa como un puente a lo largo del camino más corto entre otros dos jugadores. Para llegar el balón entre dos jugadores por su camino más corto, el jugador con intermediación es el que conecta a estos dos jugadores
Luego tenemos el valor que aporta el grafo como imagen, carriles preferenciales, espacios zonales, salidas del balón, jugadores que reciben en largo, etc. Y lo importante puedes analizar 30 grafos muy rápido y seleccionar lso partidos que creas conveniente e ir al video.
Os dejo de extra los datos por ligas:
Missing some Tweet in this thread? You can try to force a refresh.

Enjoying this thread?

Keep Current with Jesús Lagos (en casa 🏢)

Profile picture

Stay in touch and get notified when new unrolls are available from this author!

Read all threads

This Thread may be Removed Anytime!

Twitter may remove this content at anytime, convert it as a PDF, save and print for later use!

Try unrolling a thread yourself!

how to unroll video

1) Follow Thread Reader App on Twitter so you can easily mention us!

2) Go to a Twitter thread (series of Tweets by the same owner) and mention us with a keyword "unroll" @threadreaderapp unroll

You can practice here first or read more on our help page!

Follow Us on Twitter!

Did Thread Reader help you today?

Support us! We are indie developers!


This site is made by just two indie developers on a laptop doing marketing, support and development! Read more about the story.

Become a Premium Member ($3.00/month or $30.00/year) and get exclusive features!

Become Premium

Too expensive? Make a small donation by buying us coffee ($5) or help with server cost ($10)

Donate via Paypal Become our Patreon

Thank you for your support!