Vaccination can have rapid impacts on transmission & disease & surging vaccines to MI could save many lives.
Comments in NYT article from multiple health officials including @CDCDirector @celinegounder are surprisingly at odds w/ data. 1-2 wks not 6. nytimes.com/2021/04/12/us/…
@CDCDirector argues increasing vaccine supply to MI would take 6 weeks to take effect.
Article by @noahweiland @MitchKSmith tries to explain this by stating that time for full protection w/ mRNA vaccines. But we know 1 dose offers substantial protection vs disease AND infection.
Paper published in CDC's own journal MMWR showed protection against INFECTION (not symptoms) is 80% 2 wks after 1st dose. Thus, vaccinating people could reduce transmission much more quickly than 6 wks.
cdc.gov/mmwr/volumes/7…
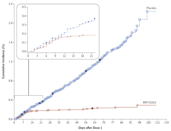
Similarly, direct protection against illness happens much more quickly. Data from trials show separation in symptomatic cases starts @ day 10-12 & since dates of symptom onset are shown (which occur 5-6 d after infection) protection is even earlier.
DOI: 10.1056/NEJMoa2034577
Thus, while its true that other interventions could be quicker (e.g. closing businesses) those are difficult to enact & state already has mask mandate. Sending vaccines to where they are needed most would save more lives.
In case anyone thinks I have a special fondness for MI, I don't. I think this strategy should be employed to any state where cases are surging. Targeted vaccination could save many more lives than simply allocating them on a per capita basis.

• • •

Missing some Tweet in this thread? You can try to force a refresh
 

Keep Current with A Marm Kilpatrick

A Marm Kilpatrick Profile picture

Stay in touch and get notified when new unrolls are available from this author!

Read all threads

This Thread may be Removed Anytime!

PDF

Twitter may remove this content at anytime! Save it as PDF for later use!

Try unrolling a thread yourself!

how to unroll video
  1. Follow @ThreadReaderApp to mention us!

  2. From a Twitter thread mention us with a keyword "unroll"
@threadreaderapp unroll

Practice here first or read more on our help page!

More from @DiseaseEcology

30 Mar
Why have we given up on targeted vaccination & dose sparing?

Many announcements like below. Seems great except most 50y+ aren't vaccinated in most states, nor are those w/ pre-existing conditions. Given surging cases & still limited vaccines this will lead to avoidable deaths.
In case folks have forgotten death is huge age-dependent (). It's ~10x higher for every 20 yrs of age. Same for hospitalizations. And yet most states are open to 16/18+ (nytimes.com/interactive/20…).
Remember all the discussions about ways to vaccinate faster? Half-doses? Large gap b/w doses? 0/1 doses initially for already infected? Now clear strong evidence for all these strategies, & yet...
silence.
Read 7 tweets
26 Mar
Differential growth trajectories of B.1.1.7 (UK variant) in US states.

The rate of increase in frequency of B.1.1.7 varies between different locations that also differ in case trajectories. What is driving this?

Thread
We know have clear evidence of variant B.1.1.7 being more 50-100% infectious & ~67% more deadly. It is likely playing an important role in the current surge in cases in Europe.
nature.com/articles/s4158…
doi.org/10.2807/1560-7…
B.1.1.7 has also been detected in many US states(helix.com/pages/helix-co…) & is probably present in most states now. In Jan-Feb most expected it to spread rapidly in US to become the dominant variant like it did in UK Nov-Jan, & other EU countries later (nature.com/articles/s4158…)
Read 18 tweets
23 Mar
Is vaccination protection against severe disease higher than against mild disease? Key Q for new variants which may show lower effectiveness against mild cases.
Thread
tl;dr Data do not show higher efficacy against severe disease, but not clearly lower either. It matters.
Background
COVID-19 has reshaped our society for the last year b/c of the 10-20x higher hospitalization rate & fatality compared to the flu.
However, vaccine efficacy trials for COVID-19 have included all "symptomatic infection" which is mostly mild cases. (even for J&J)
This was done b/c mild cases occur more frequently; efficacy could be measured more quickly if mild cases were included. Some (@EricTopol) raised concerns about this design b/c they were worried that vaccines might *only* prevent mild cases & not severe.
nytimes.com/2020/09/22/opi…
Read 18 tweets
16 Mar
Visual picture of how invasion of B.1.351 eliminated efficacy of Astrazeneca vaccine in S Africa: placebo rises more quickly through d140 when B.1.351 emerges & difference erased (vaccine ends up higher but pop at risk at end is small).
Paper is now out: nejm.org/doi/full/10.10…
Efficacy before Oct 31 before B.1.351 dominant: 75%
Efficacy against B.1.351: 10.4%
Both have very wide CIs b/c study small (1K in each group) but contrast is stark.
Thankfully, J&J vaccine faired much better, w/ a non-significant diff b/w US & S Africa & Brazil (w/ P.1), despite B.1.351 & P.1 being majority of viruses sequenced. (fda.gov/advisory-commi…)
Read 6 tweets
16 Mar
New paper on reinfections & protection from previous exposure. Study design is crude.
Protection was 82% against infection & 85% against symptomatic reinfection. Half (50%) of reinfections were symptomatic (similar to new infections 58%).
@florian_krammer
academic.oup.com/cid/advance-ar… Image
Current dogma is that protection from reinfections is 80-90% (like this study) but reinfections are mild or asymptomatic (). But here 50% were symptomatic & 5 of 31 symptomatic reinfections needed hospitalization (fraction for new infections not given).
Study design is crude: comparison is pairs of tests >90d apart. Little effort to control for factors that might influence detectability of infections. But no clear diffs in age, etc. of groups testing -/+ at 1st test. Hard to know how biased results might be. Image
Read 4 tweets
15 Mar
Is 6' of space required to keep kids safe in schools, or is 3' enough?
One of the most important questions for re-opening schools safely.
Thread
tl;dr New paper suggests 3' is enough, but paper is fraught with issues & is unconvincing, even though I really wanted it to be right.
Background
SARS-COV-2 transmission in children has been one of the most contentious issues of the pandemic. Schools were closed in most of the world in early 2020 b/c kids play a big role in influenza transmission & without info, same was assumed for SARS-COV-2.
A mountain of evidence now shows that cases/infections in children (especially <10yr) are often (but not always) less likely to be detected than in adults & kids transmit less often. There's many issues w/ these data, but no time for that here (need to write big review thread).
Read 27 tweets

Did Thread Reader help you today?

Support us! We are indie developers!


This site is made by just two indie developers on a laptop doing marketing, support and development! Read more about the story.

Become a Premium Member ($3/month or $30/year) and get exclusive features!

Become Premium

Too expensive? Make a small donation by buying us coffee ($5) or help with server cost ($10)

Donate via Paypal Become our Patreon

Thank you for your support!

Follow Us on Twitter!