Nurunin cost of production dengan scheduling ?!⌛️💸
Kenalan sama job shop problem yuk!
.
.
.
A thread
Dengan begitu banyaknya model baju yang diproduksi oleh 1 brand aja, kadang mimin mikir gimana ya alur produksinya, apalagi mesin yang digunakan buat semua model baju itu sama.
Lebih tepatnya gini, gimana sih cara pabrik ngatur jadwal pemakaian mesin mereka untuk memproduksi berbagai model baju yang berbeda?
Ternyata guys, setelah mimin searching, masalah ini ada namanya loh, yaitu job shop problem. Singkatnya, job shop ini terjadi ketika ada sejumlah pekerjaan (job) dan sejumlah mesin, dimana setiap job ini punya urutan proses yang berbeda dengan job lainnya.
Job shop ini sebenarnya merupakan masalah penjadwalan gitu dan bisa diselesaikan dengan machine learning. Dengan menyelesaikan masalah job shop, kita jadi bisa minimalisir keterlambatan produksi, total biaya produksi, dll.
Ada yang bisa nebak ujung-ujungnya ini jadi masalah apa kalau dalam machine learning?
Yeppp, job shop problem ini ga lain ga bukan adalah masalah optimization. Job shop ini ga cuma ditemuiin di pabrik baju kaya yang mimin contohin tadi aja guys. Masalah ini lazim banget ditemuiin di industri manufaktur, ya secara kann berhubungan banget sama proses produksi.
Di thread kali ini, mimin mau bahas singkat mengenai job shop problem dan algoritma apa yang biasa digunakan untuk ngatasin masalah ini.
Tapii, kalau kalian tertarik buat praktek optimasi, bisa banget nih ikut workshop “Optimasi Rute & Jadwal dalam Industri Manufaktur dengan Machine Learning” yang diadaiin hari Selasa besok. Daftar segera di bit.ly/PendaftaranPac… yaa!
Okeey mimin lanjut yaa. Nah, karena job shop ini sebenernya masalah optimization, sudah pasti ada model matematikanya kann. Jadii, yuk kita bahas bareng!
Job shop problem ini terdiri dari n pekerjaan atau job (J) yang harus diproses oleh m mesin (M). Nah, setiap job (Ji) harus diproses oleh setiap mesin dan melewati proses produksi (mi) yang terdiri operasi Oi1, Oi2, … Oim
Oh iya, urutan operasi Oi1 sampai Oim ini udah ditentukan gitu dan memang harus dilaksanakan berurutan, jadi gabisa Oim dulu yang dikerjaiin baru ke proses Oi1.
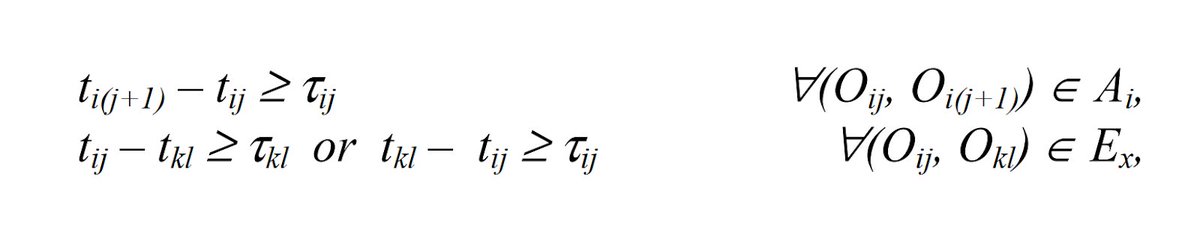
Nah, lanjut yaa. Oij merupakan operasi ke-j dari job Ji yang harus diproses pada mesin Mx untuk periode waktu pemrosesan τij tanpa interupsi.
Dalam proses produksi kan pasti ada hubungannya sama waktu yaa. Untuk job shop problem ini, kita bakal notasikan waktu ketika mulai operasi untuk setiap Oij sebagai ‘tij’,
dan keseluruhan waktu / durasi yang dibutuhkan agar semua job selesai akan kita sebut sebagai ‘makespan’ atau kalau dinotasikan itu ‘Cmax’.
Kalau lebih spesifik lagi nih, kita coba notasikan Ai sebagai himpunan pasangan terurut dari operasi yang dibatasi oleh prioritas untuk setiap pekerjaan Ji. Lalu, untuk setiap mesin Mx, Ex merupakan himpunan semua pasangan operasi yang akan diproses oleh mesin.
Setelah memahami hal-hal tadi, sekarang kita bisa memodelkan job shop problem ini dengan equation sebagai berikut:
Sebenernya ada banyak objective function yang bisa dikagegorikan sebagai job shop problem. Tapi si makespan inilah yang menjadi fokus berbagai riset buat nyelesaiin job shop problem.
Jelas, kita pengen minimalisir makespan ini kann biar proses produksinya cepat dan ga makan lebih banyak biaya. Kan kalo kata orang orang mah “time is money”
Nah, itu dia guys objective functionnya. Seperti yang mimin bilang di awal, masalah job shop ini bisa diselesaikan dengan machine learning. Mimin mau bahas sedikit beberapa algoritma yang biasanya digunakan buat job shop problem inii
(1) Genetic algorithm (GA)🏃🏃

Algoritma yang satu ini biasa digunakan buat proses optimasi. Seperti namanya ‘genetic’, algoritma ini emang terinspirasi dari teori evolusi Darwin yang nge state “the strongest species that survive”.
Intinya nihh, GA ini bekerja dengan cara membentuk generasi melalui proses crossover (reproduksi) kemudian mengevaluasinya menggunakan fitness function. GA ini akan terus memproduksi generasi baru sampai generasi yang terbentuk layak dijadiin solusi permasalahan yang dicari.
Dulu mimin pernah bahas lebih detail tentang genetic algorithm dan penerapannya buat menciduk pelanggar lalu lintas di thread ini:
(2) Ant colony optimization🐜🍭

Sama seperti GA, ant colony optimization juga digunakan buat proses optimization. Algoritma satu ini terinspirasi dari cara kerja koloni semut ketika mereka mencari makanan.
Ada berbagai jalur yang bisa dilewati oleh semut untuk menuju ke sumber makanan. Ketika melewati jalur-jalur tersebut, semut akan meninggalkan semacam zat bernama ‘pheromone’ yang menjadi sinyal bagi semut lainnya.
Jelas, mereka mencari jalur terpendek menuju sumber makanannya. Makanya, jalur terpendek memiliki pheromone yang banyak dan akhirnya semut-semut lain pun akan memilih jalur tersebut karena terdapat sinyal yang kuat.
Mimin pernah bahas sedikit mengenai ant colony optimization untuk ngatasin traveling salesman problem. Cek disini yaa:
(3) Honey Bee Algorithm🐝🍯

Kalau dipikir pikir algoritma untuk job shop problem ini berhubungan sama alam banget ya, dari evolusi sampe lebah😅. Anyway, bee colonny algorithm ini juga terinspirasi dari cara kerjanya lebah.
Jadi, ketika para lebah itu kan cari sumber makanan dari bunga, nah mereka akan bawa nektar yang mereka dapetin ke sarang. Setelah sampai sarang, nektar yang dibawa ini semacam dikasih feedback gitu.
Nektar yang dibawa ini dinilai dari kualitasnya dan jarak sumbernya dengan sarang. Feedback ini kemudian ditunjukkan lewat ‘waggle dance’ yang bisa diobservasi sama lebah lebah lain.
Yaudah deh, nanti lebah lain bisa belajar lokasi nektar tadi lewat waggle dance ini. Kalau udah tau lokasinnya, mereka akan menuju ke sumber nektar itu buat nyari makanan. Lain kali mimin akan bahas lebih detail tentang honey bee algorithm ini yaa.
Nah, kira kira gitu guys pembahasan thread hari ini. Kalian bisa belajar optimization dan langsung praktek di Workshop yang mimin sebutin di atas, atauu langsung ikut non degree program Data Scientist / Business Intelligence Pacmann!
Ini hari terakhir promo EARLY BIRD berlaku lohh! Jangan sampai ketinggalan POTONGAN 20% yaa! Yuk segera kepoiin kelasnya / hubungi kami di bit.ly/PacmannioTwitt… yaa! See you!

• • •

Missing some Tweet in this thread? You can try to force a refresh
 

Keep Current with IG: @pacmannai

IG: @pacmannai Profile picture

Stay in touch and get notified when new unrolls are available from this author!

Read all threads

This Thread may be Removed Anytime!

PDF

Twitter may remove this content at anytime! Save it as PDF for later use!

Try unrolling a thread yourself!

how to unroll video
  1. Follow @ThreadReaderApp to mention us!

  2. From a Twitter thread mention us with a keyword "unroll"
@threadreaderapp unroll

Practice here first or read more on our help page!

More from @pacmannai

21 Jun
Gini loh cara abang kurir nyari jalan tikus🛵🐀
Introduction to Particle Swarm Optimization
.
.
.
A thread
“MISI PAKETTT!!”

Hayoo siapa yang semangat waktu dengar kata itu. Mimin yakin deh, yang awalnya mager dan rebahan pasti langsung semangat. 11-12 lah sama keterima SBMPTN 🤣🤪
Tapi kalian pernah kepikiran gak sih jalan tikus si abang kurir? Coba tebak mereka nemunya dari mana hayoo
Read 34 tweets
19 Jun
Disini yang pecinta bola pada suka main fantasy football ga hahaha 😂

Tbh permainan macem gitu tuh secara ga langsung ngelatih intuisi dan sense predictive kita gak sih?
Iya lah, kalo engga pilih pemainnya pake intuisi ya pake stats dia di lapangan.

Sama aja kayak kasus optimisasi kan? Gimana memaksimalkan budget yang ada dengan harapan dapet poin sebesar-besarnya
Dan engga sedikit lho orang yang bener-bener meniatkan diri untuk main ini 😂

FYI aja yang menang FPL 2 musim lalu itu Dr Joshua Bull, seorang doktor di Oxford Mathematics 🤣
Read 5 tweets
19 Jun
Yakin pemain bola favorit kamu ga under/over value?⚽️🏃
Tentuiin market valuenya pakai machine learning yuk!
.
.
.
A thread
Malem ini pada malmingan apa nontonin Euroo nihh?
Yang ngikutin Euro, mimin penasaran dehh, siapa sih pemain sepak bola favoritmu main di Euro? Kalo mimin sih ngefans banget sama duet pogba-kante di lini tengahnya perancis. Asli cakep banget mainnya hahaha
Read 37 tweets
18 Jun
Regresi buat data kategorik?🧐
Introduction to logistic regression
.
.
.
A thread
Ketika kamu mau bikin model ML pake regresi tapi ternyata data kamu berbentuk kategorik, apa yang kamu lakukan?
Yep, pake regresi buat data kategorik! Loh emang bisa? Bisa dong, tapi pastinya bakal beda sama regresi linear biasa, soalnya kita bakal pake yang namanya regresi logistik.
Read 25 tweets
18 Jun
Sudah 7 tahun kerja sebagai Data Scientist, berikut adalah apa yang gue kerjakan dan kenapa gue hanya mau digaji mahal:
1. Hal pertama yang gue kerjakan sebagai data scientist adalah membuat dokumen bisnis proses.

Kenapa dokumen ini dibuat? karena kalau gak ada dokumen ini, gue gak tahu apa aja yang mesti dimodelkan.
Gue harus interview semua department dan menurunkan business process nya. Kebanyakan di perusahaan, terlebih di perusahaan rintisan, dokumen ini gak ada sama sekali.

Gue harus ngobrol sama tim operation, tim sales, tim marketing, tim HR, dll.
Read 20 tweets
18 Jun
Pengalaman gue jadi Data Scientist 7 tahunan ini, permasalahan paling sulit itu bukan data, atau algoritma, bukan juga model accuracy.
Permasalahan paling sulit adalah membuat orang bisnis paham limitasi dari model, memahami fungsi model dan membuat mereka skeptis dengan sehat atas kemampuan model.
Deployment juga tidak susah. Yang susah adalah perubahan prioritas dari manajemen dalam modeling. Model sering dijadikan gimmick oleh perusahaan menjadi "data driven" atau "AI company".

Mereka sering tidak peduli dengan hasilnya.
Read 6 tweets

Did Thread Reader help you today?

Support us! We are indie developers!


This site is made by just two indie developers on a laptop doing marketing, support and development! Read more about the story.

Become a Premium Member ($3/month or $30/year) and get exclusive features!

Become Premium

Too expensive? Make a small donation by buying us coffee ($5) or help with server cost ($10)

Donate via Paypal Become our Patreon

Thank you for your support!

Follow Us on Twitter!

:(