Die Viruslast von Kindern: Ein aktuelles Paper bestätigt die Ergebnisse des #Drosten Papers zur Viruslast: Kinder haben eine signifikant geringere Viruslast als Erwachsene:

Was hatte Drosten [1] rausgefunden? Kinder haben eine signifikant geringere Viruslast als Erwachsene
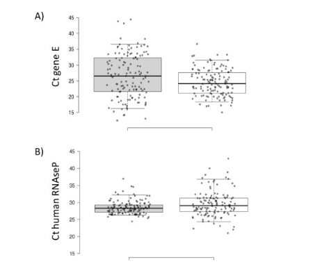
Ein aktuelles Paper [2] findet genau das auch, hier sind Kinder 0-17 abgebildet gegenüber Erwachsenen:
Wir können also als einigermaßen gesichert ansehen, dass Kinder eine signifikant geringere Viruslast haben. Es ist auch nicht das erste Paper, dass dies findet, ein anderes Beispiel [3]:
Drosten et al vermuten in ihrer Studie, dass die Proben der Kinder evtl weniger aussagekräftig sein könnten als die der Erwachsenen. Konkret: "the sample volume carried by smaller pediatric swab devices is lower than in larger swabs used for adults"
Das aktuelle Paper widerlegt diese Vermutung. Im Gegenteil, links 0-17, rechts älter: Die Proben der Kinder sind intakter als die der Erwachsenen. Es scheint wenn, dann eher anders herum zu sein.
Gute Nachrichten also. Die Ergebnisse von Drosten, dass Kinder sig. weniger hohe Viruslast haben als Erwachsene, konnte bestätigt werden und die Möglichkeit, dass es an der Probenentnahme liegt, konnte widerlegt werden.
[1]science.sciencemag.org/content/sci/ea…
[2]journalofinfection.com/article/S0163-…
[3]medrxiv.org/content/10.110…

Damit können wir - nach rd 1,5 Jahren! die Akte jetztt erstmal schließen. Und zur Kenntnis nehmen, dass Kinder auch darum weniger infizieren, weil die Viruslast tatsächlich geringer ist. Das ist vollständig in Einklang mit allen Transmissionsstudien.

• • •

Missing some Tweet in this thread? You can try to force a refresh
 

Keep Current with Dr. Christian Winter

Dr. Christian Winter Profile picture

Stay in touch and get notified when new unrolls are available from this author!

Read all threads

This Thread may be Removed Anytime!

PDF

Twitter may remove this content at anytime! Save it as PDF for later use!

Try unrolling a thread yourself!

how to unroll video
  1. Follow @ThreadReaderApp to mention us!

  2. From a Twitter thread mention us with a keyword "unroll"
@threadreaderapp unroll

Practice here first or read more on our help page!

More from @DrChristianWin1

1 Jul
Die Grafik von @apsmunro ist mein neuer Kompass.
(1) Wer die Worte "Zwangsdurchseuchung", "aber Delta", "nie wieder ohne Maske und Test" benutzt, ist zu weit rechts. Das ist Geschwurbel, das nichts mit Wissenschaftlichkeit zu tun hat.
(2) Umgekehrt sind Menschen, die meinen niemand solle geimpft werden, Covid sei gar kein Problem und wir sind Opfer einer Weltverschwörung auch zu weit links auf der Grafik. Das ist auch Geschwurbel imho.
Ich würde mir sehr wünschen, dass wir alle in die Mitte rücken und uns mal wieder an Fakten halten.

Das bedeutet auch, dass wir nichts einfach hinnehmen, nur weil es aus der richtigen Ecke kommt und alles anzweifeln, nur weil es aus der falschen kommt.
Read 5 tweets
30 Jun
Noch mehr Datenpannen. Die Barmer meldet gerade, dass sich 6.3% derwg Covid krankgeschriebenen anschließend noch arbeitsunfähig melden. Viele Medien (@tagesschau @RND_de ) übernehmen das unkritisch. Es gibt mehrere Probleme hier:
1/
(1) Personen, die positiv getestet sind, aber keine Symptome haben, werden nicht krankgeschrieben. Ärzte dürfen nur Menschen mit Symtomen krankschreiben. Von diesen Personen erfährt die KK nichts. bundesgesundheitsministerium.de/fileadmin/Date…
Sie unterschätzt damit die Anzahl der Infizierten.
(2) Personen mit Erkältungssymptomen sind auch wg Corona krankgeschrieben. Auch ohne pos. PCR Test. Das ist der Unterschied zwischen Verdacht und Laborbestätigung. kbv.de/html/1150_4488…

Wurde danach gefiltert von der Barmer? Ist mir unklar aus der Pressemitteilung.
Read 6 tweets
30 Jun
Ich möchte einen Drauflegen: Die Bundesregierung ist in allen Belangen schlecht informiert.
1/
Psyche, Infektion, Long-Covid: So wenig weiß die Regierung über Kinder in der Pandemie spiegel.de/wissenschaft/m… via @derspiegel
Sie weiß nicht, wie viele Menschen tatsächlich wegen Covid oder mit Covid auf der Intensivstation/im Krankenhaus liegen. Das kann man für irrelevant halten, ist es aber nicht: Wer mit Blinddarmentzündung im Kkh liegt und auch noch einen pos. Test hat, ist kein Covid-Patient. 2/
Sie weiß nach wie vor nicht. wo sich Menschen infizieren. Angeblich klappt ja Kontaktverfolgung problemlos ab Inzidenz<50. Wir sind jetzt seit einiger Zeit <10, die Aufklärungsquote ist kein bisschen besser geworden. 3/
Read 14 tweets
28 Jun
#longcovidkids stellt sich doch zunehmend als ein politisches und mediales Phänomen dar. Nach einer Covid-Infektion berichten deutlich mehr Kinder von Problemen als in der Kontrollgruppe, allerdings werden in der klin. Untersuchung nicht mehr Probleme gefunden.
1/
Quelle:
medrxiv.org/content/10.110…

Das heißt nicht, dass niemals Langzeitfolgen gibt, nur wird genau die gleiche Häufigkeit auch nach andern resp. Virusinfektionen gefunden. Dort allerdings berichten auch nicht überprop. viele Kinder von Einschränkungen.
2/
Für mich ergeben sich daraus verschiedene Schlüsse:
(1) Ja, die Rekonvaleszenz nach viralen Infekten kann länger sein. Da stelt jetzt Covid keine Ausnahme dar, auf einem ähnlichen Niveau ist es auch bei anderen Virusinfektionen.
3/
Read 7 tweets
27 Jun
Die Anzahl der hospitalisierten Kindern wegen Delta nimmt zu, sagen Lauterbach und Wieler. Gucken wir in die Daten:
Quelle: ons.gov.uk/peoplepopulati… (Datadownload)
1/ Image
Oben sieht man nichts, weil alle zugleich auf niedrigem Niveau sind. Darum mal reingezoomt:
Viel sieht man auch da nicht. Keine der Gruppen hat auch nur ansatzweise ihr jeweiliges Maximum erreicht
2/ Image
Die Datenreihe hier beginnt am 14.2.21. Da war die Inzidenz in UK so:
3/ Image
Read 4 tweets
27 Jun
Das ist ein sehr interessanter Artikel über die Kritik an den Modellierungen und den Modellierern:
berliner-zeitung.de/wochenende/der…
Die Kritik kommt auch nicht von irgendwem, sondern von einem sehr berühmten Mathematiker, der mehrfach seine Hilfe angeboten hatte. Explizit wendet er sich gegen Brockmann, Meyer-Hermann und Priesemann.
Hier die wichtigsten Punkte der Kritik als Zitat, inkl. meiner Meinung:
"Das SIR-Modell enthält Annahmen über das Übertragungsverhalten des Virus, die sehr unrealistisch sind. Gute Modellierer wissen das und beziehen diese Schwäche in die Bewertung ihrer Ergebnisse mit ein."
Read 16 tweets

Did Thread Reader help you today?

Support us! We are indie developers!


This site is made by just two indie developers on a laptop doing marketing, support and development! Read more about the story.

Become a Premium Member ($3/month or $30/year) and get exclusive features!

Become Premium

Too expensive? Make a small donation by buying us coffee ($5) or help with server cost ($10)

Donate via Paypal Become our Patreon

Thank you for your support!

Follow Us on Twitter!

:(