🪴 PROTEÍNA ANIMAL Vs VEGETAL: ¿CUÁL ES MEJOR?

🤓ESPECTACULAR revisión publicada recientemente por Pinckaers et al.

🤔El interés creciente por el consumo de proteínas de origen vegetal es un hecho y una realidad.

Dentro hilo 🧵 Image
🤝Una única sesión de ejercicio físico estimula la síntesis proteíca y también la degradación proteíca (en menor parte). SÓLO se obtiene un balance de proteína positivo cuando se ingiere la suficiente cantidad de proteínas. Por eso, nutrición y entrenamiento van de la mano. ImageImage
😱En algunos estudios como el de Yang et al 2012, muestran que la misma cantidad de proteína de soja comparado con la misma cantidad de proteína whey, esta última generaría un aumento de la síntesis proteíca superior. Image
🤯Las propuestas menores capacidades anabólicas de las proteínas vegetales se atribuyen a :
❌Menor digestibilidad
❌Menor cantidad de aminoácidos
❌ Deficiencias de aminoácidos Image
⛔️Digestibilidad: proteína de huevo tiene una digestibilidad del 85-95% mientras que la de los guisantes o garbanzos del 50-75%. ¿Por qué? Probablemente por la presencia de antinutrientes en estas fuentes proteicas. Este “problema “ se soluciona con el cocinado, entre otros
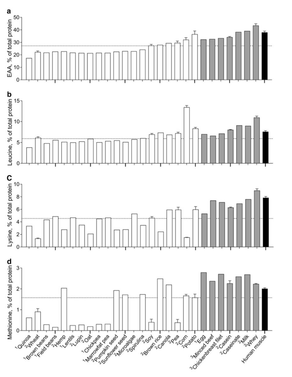
🆘Déficit de aminoácidos claves: a pesar de que la patata tiene una cantidad mayor de leucina que la caseina y el huevo, la mayoría de fuentes de proteína vegetal pueden contener una cantidad más baja de leucina que los productos de origen animal. Image
También puede existir menor cantidad de lisina y metionina, aminoácidos también importantes para la síntesis proteíca. Image
🆚Menor cantidad de proteínas: puede ser más difícil llegar a la cantidad de proteínas necesitarías según contexto mediante proteínas de origen vegetal que de origen aminal, se necesitaríam potencialmente más kcal y más volumen de comida para ingerir misma cantidad de proteínas. Image
🆘¿Soluciones?
✅Comer mayor cantidad de proteínas de origen vegetal para compensar las probables limitaciones
✅Usar suplementos de proteínas origen vegetal para facilitar llegar a los requerimientos
✅Usa mezclas de proteína vegetal para que no haya limitación de aminograma Image
👨‍⚕️CONCLUSIONES

🤝Las dietas con proteínas de origen vegetal NO son superiores a las de origen animal para estimular la síntesis proteíca (a diferencia de lo que decía un famoso documental en Netflix)

Recordar que Netflix no es fuente de entretenimiento y no de ciencia
🤝Cuando se consume 1,6 gramos al dia de proteínas por kg de peso corporal veniendo esta proteína de origen animal o de origen vegetal NO EXISTEN DIFERENCIAS SIGNIFICATIVAS EN LA MASA MUSCULAR
🤝Conseguir llegar a tus requerimientos de proteínas con una dieta vegana puede ser más complicado que con una dieta con alimentos de origen animal.

• • •

Missing some Tweet in this thread? You can try to force a refresh
 

Keep Current with Antelm Pujol, MD

Antelm Pujol, MD Profile picture

Stay in touch and get notified when new unrolls are available from this author!

Read all threads

This Thread may be Removed Anytime!

PDF

Twitter may remove this content at anytime! Save it as PDF for later use!

Try unrolling a thread yourself!

how to unroll video
  1. Follow @ThreadReaderApp to mention us!

  2. From a Twitter thread mention us with a keyword "unroll"
@threadreaderapp unroll

Practice here first or read more on our help page!

More from @AntelmPujol

26 Sep
🤯¿AGOTADO MENTALMENTE? ¿MIRAR LA TV ES LA MEJOR SOLUCIÓN?

🙃Dicho así parece que voy a vender algo pero quiero aportar evidencia científica, como siempre. Vamos a ello.

Dentro hilo 🧵👇🏻 Image
🤓Interesantísimo estudio publicado por Oberte et al. 2021, donde analizan que es mejor para combatir el agotamiento mental: mirar la TV, realizar estiramientos o realizar 30 minutos de ejercicio aeróbico de intensidad moderada. Image
🧬Para contestar a la pregunta reclutan en un ensayo clínico randomizado a 99 sujetos sanos que los someten a la realización de test mentales para agotarlos a nivel cognitivo.
Read 7 tweets
15 Sep
😴CONSEJOS PARA DORMIR MÁS Y DORMIR MEJOR BASADOS EN CIENCIA

🤓Las medidas de higiene del sueño son hábitos que ham demostrado mejorar la calidad y cantidad del descanso: ¡vamos a conocerlos!

Dentro hilo 🧵👇🏻
🕰 Tener horarios regulares: sobretodo, el momento en el que nos despertamos un factor clave para regular nuestros ritmos circadianos.
💡 Limita la luz azul: las pantallas emiten luz azul. Hay dispositivos con “modo noche” que funcionan genial y la luz azul emitida es muy baja.
No exponerse a pantallas también significa reducir la actividad cognitiva/emocional antes de irte a dormir. Esto ayudará a relajarte.
Read 14 tweets
13 Sep
🍆 VITAMINA D Y TESTOSTERONA

👉🏻Pilz et al.2011 afirman que la suplementación con vitamina D en hombres con hipogonadismo y con niveles inferiores a 50nmol/L el uso de 3332 IU de vitamina d durante 1 año conseguí un aumento significativo de la testosterona

Dentro hilo 🧵 Image
✋🏻Estos resultados NO se han replicado en otros trabajos (Lerchbaum 2019) usando megadosis de Vitamiana D y no, pequeñas dosis diarias de esta a diferencia del otro trabajo. Image
El uso de megadosis de vitamina D aumentan de la producción de 24,25 (OH)2 vitamina D, un metabolito que limita la actividad de la 1,25 (OH)2 vitamina D (la que nos interesa). Por tanto , el uso de megadosis puede bloquear el funcionamismo biológico de la vitmaina D. Image
Read 11 tweets
30 Aug
🥵¿HACER EJERCICIO PUEDE HACERTE DISMINUIR LAS CALORÍAS GASTADAS AL FINAL DEL DÍA?

🥴¿Cómo? ¿Lo he leído bien? Si correcto amigo. Vamos por partes porqué este paper es brutal.

Se viene hilazo 🧵 👇🏻
🔥La cantidad de calorías que quemamos durante el día se divide en : calorias quemadas basales (mantener funciones vitales), calorías quemadas con ejercicio físico y calorías quemadas por el efecto térmico de la comida. Sumado sería la cantidad de calorías quemadas al durante día
🤭Por tanto, ¿si aumento la cantidad de kcal quemadas con la actividad física aumentaré siempre mis kcal quemadas al final de día? La respuesta es que no necesariamente. ¿Os ha explotado la cabeza? Seguid conmigo.
Read 13 tweets
29 Aug
❤️AYUNO INTERMITENTE Y RIESGO CARDIOVASCULAR

🤓A principios de 2021, la popularidad creciente del ayuno intermitente también ha despertado el interés de algunas prestigiosas revistas científicas para dedicarle tiempo y esfuerzo en dilucidar la evidencia sobre este.

Hilo 🧵
🖊La prestigiosa institución Cochrane Library, publicaba el 29 de enero (el día de mi aniversario) una extensa revisión sobre los efectos del ayuno intermitente en la salud cardiovascular
✅Esta revisión engloba a 18 estudios con un total de 1125 participantes y se analizaba los efectos del ayuno intermitente comparado también con la restricción calórica convencional a corto a medio y a largo plazo.
Read 9 tweets
28 Jun
🧐¿PUEDE LA CAFEÍNA SUSTITUIR HORAS DE SUEÑO?

✅La cafeína podría ayudarte a mejorar tu rendimiento cognitivo especialmente cuando NO HAS DORMIDO lo suficiente...

🤔Por tanto, si duermo poco y tomo cafeína ¿mi rendimento cognitivo sería el mismo?
🤓En este estudio se somete a sujetos sanos a 5 días de restricción del descanso durmiendo 5 horas y se les dividía en dos grupos: unos tomaban cafeína y otros no. ¿Habrán diferencias en el rendimiento cognitivo?
✅Los 3 primeros días la cafeína aumentaba el rendimiento cognitivo de forma significativa respecto a los que tomaban placebo.

❌A partir del 4 día la cafeína NO AUMENTA el rendimiento cognitivo.
Read 5 tweets

Did Thread Reader help you today?

Support us! We are indie developers!


This site is made by just two indie developers on a laptop doing marketing, support and development! Read more about the story.

Become a Premium Member ($3/month or $30/year) and get exclusive features!

Become Premium

Too expensive? Make a small donation by buying us coffee ($5) or help with server cost ($10)

Donate via Paypal Become our Patreon

Thank you for your support!

Follow Us on Twitter!

:(