#THREAD

Just how deep does #ToryCorruption run in Britain?

Has the UK Government appointed Ministers based on their knowledge & direct experience of Corporate 'divide-and-conquer' strategy?

What has this got to do with UK Home Secretary Priti Patel?

tobaccotactics.org/wiki/priti-pat…
Priti Patel is one of the most controversial politicians in modern UK history.

She's a hard-right populist nationalist free-market fundamentalist, who has broken the Ministerial Code on at least three separate occasions, including "strong evidence" of bullying civil servants.
Priti Patel is perhaps best known for her relentlessly inflammatory, divisive, toxic & dangerously irresponsible rhetoric, especially around the demonization of asylum seekers & migrants, & those who professionally or otherwise have a responsibility to support or defend them.
In October, it transpired that Priti Patel had ignored warnings from at least two senior colleagues to stop targeting immigration lawyers after a knifeman threatened to kill a solicitor in an attack linked to her rhetoric.

theguardian.com/politics/2020/…
Lord chancellor Robert Buckland and attorney general Suella Braverman intervened after the attack to tell Patel that her targeting of the legal profession was already believed to have inspired an incident that might have left a solicitor dead.
Both asked Patel to cease her attacks on the legal profession, warning that more violence could materialise following the 7 September incident when a man entered a law firm in London armed with a “large, heavy duty knife” & embarked on a “racist, violent attack”.
But Priti Patel chose to ignore the pleas & at the Tory party conference on 4 October intensified her targeting of “do-gooders” & “lefty lawyers”.

Two days later Boris Johnson told the conference the criminal justice system was “being hamstrung by lefty human rights lawyers”.
Later in October it emerged that Priti Patel appeared to have simply dismissed intelligence briefings from counter-terrorism police to the Home Office over an alleged far-right terror attack - at a time of greatly increased far-right terrorism incidents.

theguardian.com/uk-news/2020/o…
Officers from #S015, the Metropolitan police counter terrorism command (CTC), notified Home Office Priti Patel in mid-September that it was suspected that a far-right extremist had attempted to carry out a terror attack at a solicitors’ firm in London.
The alleged far-right extremist accused of attempting to launch a terror attack at a solicitors’ firm will stand trial next March, charged with preparing an act of terrorism by researching Duncan Lewis Solicitors with the intention of killing an immigration solicitor.
He allegedly visited the firm’s offices on 7 September, carrying a large knife, handcuffs as well as Nazi & Confederate flags. During the attack, he allegedly threatened a receptionist, threatened to kill a solicitor & abused staff because of their racial or religious background.
So what has any of this got to do with the strategy of 'divide-and-conquer', practiced for decades by powerful Corporations, such as Big Tobacco & the fossil fuel industries, & UK Home Secretary priti Patel?

First, a VERY brief divide & conquer/divide & rule primer.
Divide & rule policy (Latin: divide et impera), or divide & conquer, is gaining & maintaining power by breaking up larger concentrations of power into pieces that individually have less power than the one implementing the strategy. It's effective, & has been used for centuries.
It was utilised by the Roman ruler Julius Caesar & the French emperor Napoleon

The technique is meant to empower the 'sovereign' to control subjects, populations, or factions of different interests, who collectively might be able to oppose its rule.
Niccolò Machiavelli identifies a similar application to military strategy: a Captain should endeavor to divide the forces of the enemy, achieved either by making him suspicious of his men, or by giving him cause that he has to separate his forces, thus becoming weaker.
Powerful Corporations, think tanks, newspapers - & of course politicians - have been using this strategy for a very long time, often with fantastic or devastating results, depending upon one's moral compass.

Edward Bernays also developed this approach on behalf of corporations.
One of Bernays' campaigns was his work for the United Fruit Company in the 1950s, connected with the CIA-orchestrated overthrow of the democratically elected Guatemalan govt in 1954, when he worked on the press to drum up coverage of Guatemala's non-existent "Communist menace".
Patel worked at PR firm Weber Shandwick from 2000 to 2003. In her role as Policy, Media & Campaigns Adviser, she worked, among others, with the Meat & Livestock Commission & The Bar Council, & the focus of this #THREAD, British American Tobacco.

Details: tobaccotactics.org
Priti Patel was one of seven people Shandwick employed on the BAT account.

In late summer 2000, Patel attended BAT’s ‘Operational Planning Meetings’, & in October 2000, she provided summaries of media articles on BAT’s involvement in tobacco smuggling.

web.archive.org/web/2020100508…
A memo from Shandwick to BAT in October 2000 set out roles on “Project Sunrise” & said that Patel was responsible for “day to day account co-ordination, project management” and “assists on media relations”.

So what was 'project Sunrise'?
While documentation is carefully unclear about exactly what this project was, Priti Patel is named as as “day to day Account Co-ordinator, project management, assists on media relation & responsible for “UK media”, as part of Project Sunrise.
Philip Morris ran a "Project Sunrise" which “laid out an explicit divide-and-conquer strategy against the tobacco control movement”.

Patel helped send a strategy about how BAT could influence the outcome of the WHO’s negotiations on the Framework Convention on Tobacco Control.
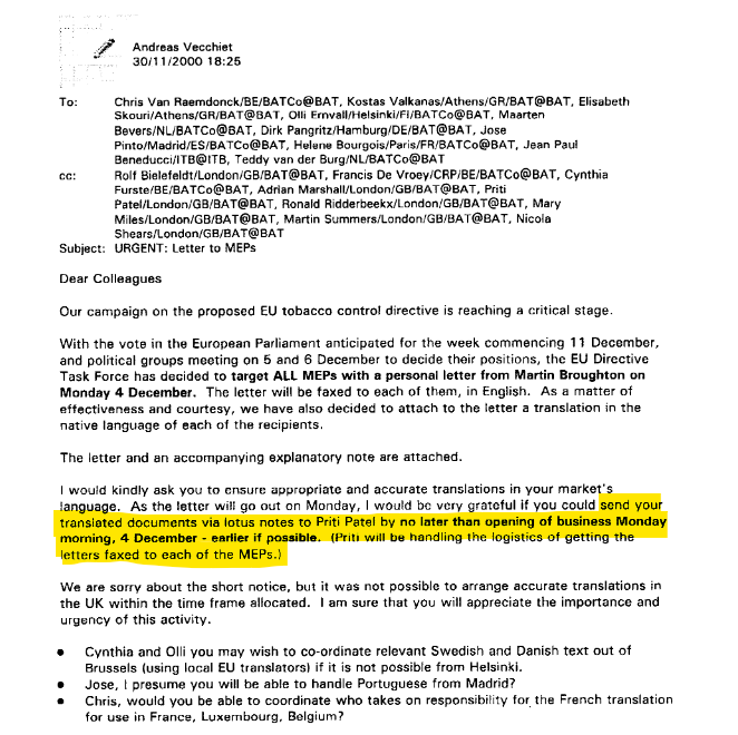
Patel was part of a group that sent a letter lobbying MEPs on the proposed EU’s Tobacco Control Directive. Documents suggest Patel was integral to BAT’s lobbying on the Directive: “Our campaign on the proposed EU tobacco control directive is reaching a critical stage”.
A letter from Weber Shandwick to BAT in January 2001 stated: “Priti will be responsible for day-to-day activity on the account... She will also provide strategic advice on the account, with a particular focus on the #Conservative Party.”

industrydocuments.ucsf.edu/tobacco/docs/#…
A memo from March 2001 shows Patel “working with BAT External Communications Team” & other duties.

In 2001, documents show Shandwick created plans to invoice BAT for 279 hours of work/month, of which Patel contributed 100 hours. Patel’s work was charged to BAT at £165 per hour.
Documents suggest that Patel may have been seconded to BAT’s press office in 2000:

On 30 October 2000, the DTI announced an investigation into BAT’s involvement in tobacco smuggling. Patel’s name appeared in a BAT media release about the investigation as a contact.
On 6 December 2000, Patel's name appeared again as a media contact on a BAT press release about the Government’s Tobacco Advertising and Promotion Bill.

industrydocuments.ucsf.edu/tobacco/docs/#…
On 13 March 2001, Colin Byrne from Weber Shandwick wrote: “Priti is now working with the communications team as an integral part of the team … working on developing communications ideas for projects... and also sharing information/insights with the team on overall issues..."
Since she was elected as an MP in 2010, Priti Patel has publicly supported tobacco industry positions in Parliament on various occasions.

In 2010, Patel voted for the smoking ban to be overturned & signed a letter demanding the government reconsiders the tobacco display ban.
Patel is on record calling plain packaging a “completely mad” policy which is “a blunt instrument which will have a disproportionate impact on independent retailers.”
"Plain packaging will serve to harm the very businesses that are best-placed to prevent underage sales & fight back against illegal & illicit supplies" & “new plain packaging rules that go further than this would only serve to be another nail in the coffin for many newsagents.”
After the Chantler review into plain packaging was published, Patel wrote to the chair of the Petrol Retailers Association, appealing for its members to lobby their MPs to object as she was concerned about the implications of plain packs for small shops, tax revenues & smuggling.
Patel is a member of the Free Enterprise Group, an association of free-market orientated Tory MPs emphasising free enterprise values against the backdrop of a loss of confidence in free market economics following the 2008 global crash, founded by Liz Truss.
The Group reveals that “Administrative support for the group is supplied by the Institute of Economic Affairs” - part of a global network of powerful think tanks, in Britain based in & around Tufton St. The IEA receives financial support from the tobacco industry.
The Free Enterprise Group published a report, ‘The Business of Small Enterprise’. In the report the Group recommended that the Government “drop proposals for plain packaging”. The Government announced it would reconsider plain packaging in November 2013.

tobaccotactics.org
Linking to a previous #THREAD, which picks up on Priti Patel's "progress" from being a lobbyist working on behalf of Big Tobacco influencing Tory MPs, through seamlessly becoming a Tory MP in 2010, to holding many unauthorised meetings in Israel in 2017.

• • •

Missing some Tweet in this thread? You can try to force a refresh
 

Keep Current with GET A GRIP

GET A GRIP Profile picture

Stay in touch and get notified when new unrolls are available from this author!

Read all threads

This Thread may be Removed Anytime!

PDF

Twitter may remove this content at anytime! Save it as PDF for later use!

Try unrolling a thread yourself!

how to unroll video
  1. Follow @ThreadReaderApp to mention us!

  2. From a Twitter thread mention us with a keyword "unroll"
@threadreaderapp unroll

Practice here first or read more on our help page!

More from @docrussjackson

10 Nov
#THREAD

Apologies, but I'd never heard of self-described "religious right-winger" Tzipi Hotovely until yesterday.

I understand she delivered her speech without any problems, then was confronted by protestors OUTSIDE the LSE. 🤔

Anyway, who is she?
Tzipi Hotovely is an Israeli diplomat & former politician who serves as the current Ambassador of Israel to the UK.

After a short media career, in 2008, Hotovely announced that she was joining Likud, & became a member of the Knesset when Likud won 27 seats.
In 2013 Hotovely rejected Palestinian statehood aspirations, & supported a Greater Israel spanning over the entire land of current Israel, along with the Palestinian territories.

She reiterated her position on 22 May 2015, rejecting criticism from the international community.
Read 17 tweets
10 Nov
'Upvoting extremism: Collective identity formation and the extreme right on Reddit - Tiana Gaudette, Ryan Scrivens, Garth Davies, Richard Frank, 2021'.
journals.sagepub.com/doi/full/10.11…
"Right-wing extremists and those who subscribe to extreme right views have exploited online platforms to build a collective identity among the like-minded. Research in this area has largely focused on extremists’ use of websites, forums, and mainstream social media sites, but...
overlooked in this research has been an exploration of the popular social news aggregation site Reddit. The current study explores the role of Reddit’s unique voting algorithm in facilitating “othering” discourse &, by extension, collective identity formation among members of...
Read 5 tweets
10 Nov
'Is receiving Dislikes in social media still better than being ignored? The effects of ostracism and rejection on need threat and coping responses online'.

tandfonline.com/doi/full/10.10…
"When posting content in social media, users can feel excluded due to lacking (cyber-ostracism) or negative (cyber-rejection) feedback.. this study examined the impact that both exclusion experiences have on social media users’ need threat & on their online coping behavior."
"Both types of exclusion threatened media users’ needs for belonging, self-esteem, meaningful existence, & control. Compared to ostracized users, rejected ones were more threatened in their needs for belonging & self-esteem, but...
Read 4 tweets
10 Nov
#THREAD

Project Veritas is an American far-right activist group founded by James O'Keefe in 2010.

"It produces deceptively edited videos of its undercover operations, which use secret recordings in an effort to discredit mainstream media organizations & progressive groups." ImageImage
Project Veritas released a deceptive video created to malign Pfizer employees & the Pfizer #COVID19 vaccine.

Shortly after Project Veritas released the video, inauthentic Twitter accounts helped amplify the video on Twitter.

firstdraftnews.org/articles/proje…
In October, @BotSentinel investigated, analysed & identified 798 inauthentic Twitter accounts tied to Project Veritas (below).

"The accounts in question were part of a broader coordinated #disinformation campaign":

botsentinel.com/reports/docume…
Read 8 tweets
10 Nov
IMPORTANT NEW REPORT from @botsentinel:

'Journalists and Royal Commentators Interacting with Hate Accounts Targeting Meghan and Harry, Duke and Duchess of Sussex'.

botsentinel.com/newsroom/repor…
"During our initial investigation into Twitter hate accounts targeting Meghan and Harry, Duke and Duchess of Sussex, we observed an unusual number of hate accounts interacting with journalists and royal commentators who are frequently cited in the media as "royal experts"."
"The hate accounts we monitored appeared to follow and interact with certain prominent Twitter accounts that primarily cover the royal family."

"Moreover, several prominent Twitter accounts covering the royal family followed some of the more active and well-known hate accounts."
Read 10 tweets
10 Nov
Tory MPs have been writing “sponsored content” online for the Betting & Gaming Council, a lobbying group campaigning for the gambling industry.

Of course they have.

They are unfit to govern.

We need to #ChangeTheSystem

#ToryCorruption

theguardian.com/politics/2021/…
They include Jack Brereton, MP for Stoke-on-Trent South and a government aide who wrote an article published on the ConservativeHome website on Monday urging ministers to make sure the gambling review does “nothing to put the industry’s competitiveness at risk.
Mark Jenkinson wrote one of the sponsored pieces in July. He declared an Ascot hospitality box in June worth £1,400, paid for by the BCG.

ERG member & ex-UKIP candidate Jenkinson, along with Ben Bradley, is often in the news for his grotesque views:

Read 4 tweets

Did Thread Reader help you today?

Support us! We are indie developers!


This site is made by just two indie developers on a laptop doing marketing, support and development! Read more about the story.

Become a Premium Member ($3/month or $30/year) and get exclusive features!

Become Premium

Too expensive? Make a small donation by buying us coffee ($5) or help with server cost ($10)

Donate via Paypal

Thank you for your support!

Follow Us on Twitter!

:(