Finally, some reason & common sense in the official immunology.
"We describe several lines of evidence that argue AGAINST a direct impact of vaccine-induced memory T cells in PREVENTING symptomatic #SARSCoV2 INFECTION...
@fitterhappierAJ
nature.com/articles/s4157…
The contribution of T cell immunity in REDUCING the SEVERITY of infection, particularly with #SARS2 variants, REMAINS TO BE DETERMINED.
In reality protective immunity to most pathogens does not refer to a binary outcome (susceptible vs protected) but instead REFLECTS a SPECTRUM."
vs. INFECTION:
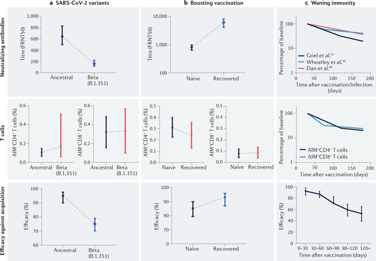
1) "To address the role of T cells in protection from #SARS2 infection is to identify contexts where T cell & nAb responses at least partially ‘decoupled’.
There is relatively little loss of T cell cross-reactivity to VoCs, including #Omicron. Thus, exposure of...
vaccinated to #SARS2 VoCs presents a situation in which T cell immunity SHOULD REMAIN largely INTACT, whereas effective concentrations of nAbs are reduced. Trials show that VE in preventing infection is REDUCED for these variants... despite the largely INTACT T cell recognition."
2) "Vaccination of previously infected individuals results in nAb levels severalfold higher than the levels observed after vaccination of naïve individuals. However, spike-specific T cell immunity does not appear to be similarly boosted, with spike-specific T cell frequencies...
comparable to those observed after vaccination of naïve individuals. Thus, if protection from infection tracked with T cells, then we might expect little difference in protection after vaccination of naïve or recovered individuals...
However, vaccination has been observed to have a significantly greater effectiveness in preventing infection in recovered individuals versus naïve individuals, which argues for a CRITICAL ROLE for nAbs."
3) "The potential for a COMPENSATORY increase in the number (and role) of some T cell responses in the absence of nAb responses, although the mechanisms of this are unclear. Importantly, this occurs in the context of B cell deficiency in the ‘priming’ stage of vaccination."
vs. SEVERE:
1) "we still find that nAb responses remain predictive of protection from severe disease & that the nAb titre associated with 50% protection from severe #SARS2 is 6x LOWER THAN the level REQUIRED to protect vs. infection (around 8 IU ml−1 versus 54 IU ml−1)...
Because of the lower levels of nAbs associated with protection from severe disease, this protection is expected to be sustained for MUCH LONGER than protection from acquisition of infection."
2) Viral clearance rates are significantly greater in vaccinated, with divergence occurring around day 6 after symptom onset...
a change in immune control occurring after clinical presentation may increase the viral clearance rate & contribute to protection from severe disease...
An analysis of the dynamics of immune recall early after breakthrough infection... shows RAPID RECALL of Ab responses occurring around day 5 after symptom onset (day 8 post-infection) but weak or no recall of CD4+ T cell & CD8+ T cell responses in blood around the same time...
3) "For example, geometric mean vaccine-induced nAb responses to the #Omicron variant compared with the ancestral strain are decreased more than tenfold (compared with a reduction of around 3.9-fold for the #Delta strain).
However, T cell responses to the #Omicron compared with the ancestral strain are reported to be decreased by a mean of ONLY 10–30% & are not significantly different between the #Delta strain & the #Omicron strain...
Two studies have shown reduced VE in preventing both symptomatic infection & hospitalization in the #Omicron-dominant period compared with the #Delta-dominant period, which appears consistent with the greater drop in nAb recognition of the #Omicron vs. the #Delta variant.
However, if immunity acts in a ‘two-step’ fashion, then reduced protection from hospitalization may, in part, be due to a higher number of symptomatic infections in vaccinated, while retaining the same level of protection from progression from symptomatic to severe disease."

• • •

Missing some Tweet in this thread? You can try to force a refresh
 

Keep Current with Double Individual Speculator

Double Individual Speculator Profile picture

Stay in touch and get notified when new unrolls are available from this author!

Read all threads

This Thread may be Removed Anytime!

PDF

Twitter may remove this content at anytime! Save it as PDF for later use!

Try unrolling a thread yourself!

how to unroll video
  1. Follow @ThreadReaderApp to mention us!

  2. From a Twitter thread mention us with a keyword "unroll"
@threadreaderapp unroll

Practice here first or read more on our help page!

More from @x2IndSpeculator

May 3
It felt vindicating to read this paper "Disentangling the relative importance of T cell responses in #COVID19: LEADING ACTORS OR SUPPORTING CAST?" & to see the same conclusions I independently came about from my layman/trader perspective by using mathematics & logical deduction.
Oh, how many times have I written this to "experts" overselling T cells as a team of superheroes:
"These factors highlight the difficulty in establishing a role for T cells in protective immunity to #SARS2 infection beyond a general assumption that they are likely to be helpful."
"However, it is easy to make the discussion a binary one between ‘all antibodies’ and ‘all T cells’ contributing to protection, whereas the IMMUNE SYSTEM typically DEFIES such SIMPLIFIED DICHOTOMIES...
Read 5 tweets
Apr 24
"The effectiveness of 3 doses vs. hospital admission due to #Delta... fall from 89% <3 months to 71% from 3 months+...
After 3 doses, VE of BNT162b2 against hospital admission due to the #Omicron variant was 85% at <3 months but fell to 55% at 3 months+."
thelancet.com/journals/lanre…
I'm very interested in the virologists' explanation of why would VE vs. hospitalization wane this much over time if, for severity, T-cells are exclusively more important than antibodies. It seems to me real-life data doesn't support currently presumed dogma. Novelty=severity, no?
"Our study is one of the 1st to report long-term follow-up outcomes after receipt of a booster dose, stratified by age. Similar to a recent CDC report showing waning effectiveness of mRNA #COVID19 vaccines after a 3rd dose, we also detected early SIGNS of WANING against SEVERE...
Read 11 tweets
Apr 23
I don't know what's happening with BNO since the takeover but they have more & more commentaries, instead of pure news. This thread is of course correct but so 2021. The story of 2022/23 is monetary & fiscal tightening, thus FALLING demand. The effects are not as straightforward.
The price of used cars has already exploded in the previous year and a half. New cars are having supply chain problems since I started reporting it at the beginning of 2021?! This is old, ancient news.
This is the oldest tweet of mine I found in archives where I mentioned coming supply chain problems, thus inflation & shortages. On January 13, 2021!
Since then, I wrote numerous times (in 2021!) about the demand-supply mismatch, its causes & effects.
Read 5 tweets
Apr 4
Wait, WHAT?! After two years of downplaying and only talking about the first two possibilities ("the good" - common cold, and "the bad" - the flu), NOW you admit there is "the ugly".
Quote it: "– extensive diversification into serotypes with long-term high-level endemicity."
"Worst case scenarios include high case numbers & circulation of a diversity of serotypes with limited protection across strains, possibly fuelled by reverse anthroponosis & recombination between human & animal coronaviruses...
This would present a highly challenging situation, leading to CONSTANTLY HIGH CASE numbers and a need for continual vaccine updates to match at least a subset of dominant serotypes in circulation...
Read 4 tweets
Apr 4
XD is bad news.
"This recombinant exhibits immune escape properties similar to #Omicron, while its behavior in mice expressing the human ACE2 receptor is more similar to #Delta."
I'm confused. Viral load is not the determinant of severity?
"The levels of viral RNA in the lungs of mice infected with BA.1 or XD viruses were comparable, and 3.7-fold LOWER than those of AY.4-infected animals (Fig. 3a)...
BA.1 infection was not associated with weight loss nor lethality. With the XD virus, we did not observe weight loss during the first 5 dpi, but ALL mice DETERIORATED rapidly between day 5 and 8 and DIED or had to be euthanized by day 9...
Read 5 tweets
Nov 10, 2021
This is like the 1940s because we are at war. At war with #SARS2. Only, unlike the 1940s when people & politicians behaved & prepared like in the war, today the vast majority behaves as nothing unusual is happening. But, look at the policy response. It's war-like!
First, win the war, then everything else. Not good enough to pretend you have won the war. That way, you have just spent your reserves, while the enemy grew stronger. Fantasy is not a long-term solution.
The current worldwide pandemic & economic/monetary policy response will go into annals of history as the most reckless, disgraceful crisis mismanagement. The goal was never to act & adapt to a living with a novel deadly pathogen but to return hastily to pre-pandemic 2019-life.
Read 5 tweets

Did Thread Reader help you today?

Support us! We are indie developers!


This site is made by just two indie developers on a laptop doing marketing, support and development! Read more about the story.

Become a Premium Member ($3/month or $30/year) and get exclusive features!

Become Premium

Don't want to be a Premium member but still want to support us?

Make a small donation by buying us coffee ($5) or help with server cost ($10)

Donate via Paypal

Or Donate anonymously using crypto!

Ethereum

0xfe58350B80634f60Fa6Dc149a72b4DFbc17D341E copy

Bitcoin

3ATGMxNzCUFzxpMCHL5sWSt4DVtS8UqXpi copy

Thank you for your support!

Follow Us on Twitter!

:(