Alex Howard Profile picture
10 Jan, 26 tweets, 27 min read
Black @CapitolPolice officers told @BuzzFeedNews of military-trained militia & police officers among the partisans engaging in sedition & insurrection buzzfeednews.com/article/emmanu…
Governors need to audit 19,000+ police departments for white nationalists. Time for a national reckoning ImageImageImage
Ken Rapuano, the assistant secretary of defense for homeland security, falsely claimed that @TheJusticeDept & other law enforcement told @DeptofDefense repeatedly that they had no indications that there would be ‘significant violent protests.’”
nbcnews.com/news/crime-cou… @FBI knew. ImageImageImageImage
The @CapitolPolice were caught unprepared for a violent insurrection; many heroes saved @VP @SpeakerPelosi & Congress from being taken hostage or worse.
Far-right militias have made their intent to return clear:
washingtonpost.com/technology/202…
The @FBI & @DHSgov should not wait for them
The threat of armed far-right militias engaging in seditious violence before or on Inauguration Day is as serious as international terrorism, & may include insider threats.
Wake up, @HomelandKen:
nytimes.com/2021/01/09/us/…
Call @DHS_Wolf to testify on this: abcnews.go.com/US/months-ahea… ImageImageImageImage
The @DeptofDefense corrected a statement to @USATODAY, confirming 25 people are under investigation for terrorism, some of whom may be troops: usatoday.com/story/news/pol…
Members of US military storming @uscapitol in an insurrection would be guilty of treason: law.cornell.edu/uscode/text/18… ImageImageImageImage
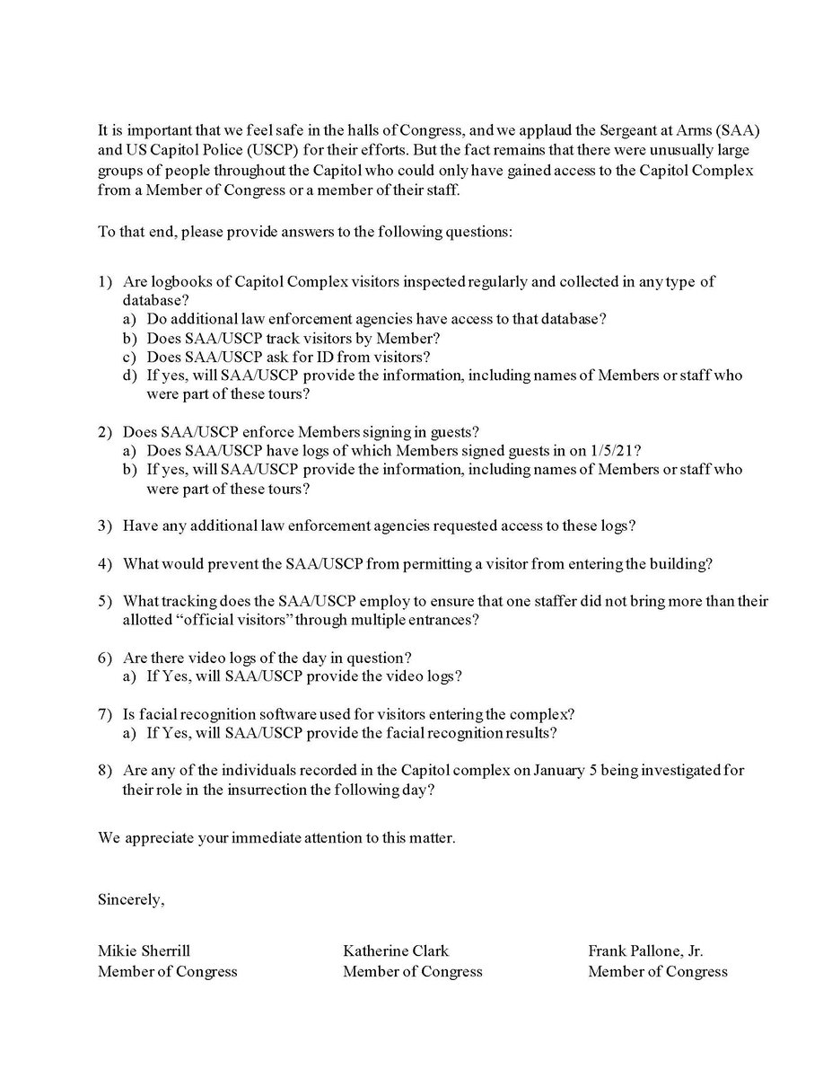
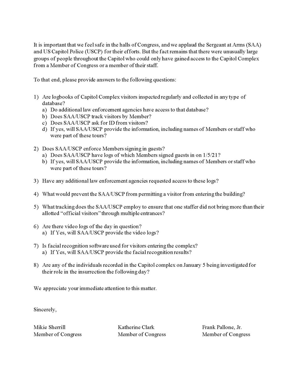
34 Members of Congress asked the Senate & House sergeants-at-arms & the @CapitolPolice detailed questions about the “extremely high number of outside groups” at the @uscapitol on January 5, when tours of the building were suspended:
forbes.com/sites/alisondu…
ImageImage ImageImage
The @washingtonpost reports 12+ off-duty law enforcement officers were part of the #January6th insurrection in DC, & are under investigation; 12+ @CapitolPolice officers are as well: washingtonpost.com/politics/polic…
19,000+ police departments & @DeptofDefense waking up to internal threat Image
"2 members of the Proud Boys, a nationalist organization, were indicted"
"3 individuals associated with… a paramilitary organization focused on recruitment of current & former military &…law enforcement, were indicted for conspiring to obstruct Congress"
fbi.gov/wanted/capitol… Image
“It is not clear whether any elected officials played a role in directly facilitating the attack on the @uscapitol, other than helping to incite [seditious mob] violence through [lying] about the election being stolen from [@POTUS45 in speeches & tweets].”
nytimes.com/2021/01/29/us/… ImageImageImageImage
There are still @FBI posters seeking information about the suspect for poor bombs set on January 6th in Capitol Hill parks.

Our neighborhood — my neighborhood — is not the same.
We have been terrorized.

And the @uscapitol remains militarized, as the impeachment trials began. Image
Asked about white supremacy, @POTUS said he got into politics because of civil rights & the Ku Klux Klan, & a crucial truth: these groups are the greatest domestic terror threat in America in 2021.

His administration faces a long, challenging road ahead: theatlantic.com/politics/archi…
CNN: “6 US Capitol Police officers have been suspended with pay, and 29 others have been placed under investigation, for their actions in the January 6 riot.” cnn.com/2021/02/18/pol…
No statement on website or tweet by @CapitolPolice yet. ImageImage
The Senate Committee on Homeland Security & Governmental Affairs (HSGAC) & Committee on Rules and Administration joint hearing on the January 6th insurrection that breached the @uscapitol has begun. Livestream here:
rules.senate.gov/hearings/exami…
In written testimony, Paul D. Irving, former Sergeant at Arms for the U.S. House, told Congress neither the @FBI nor @DHSgov "assessed a coordinated assault on the @uscapitol like the one that took place" & all agencies on 1//5 believed plan met the threat
rules.senate.gov/imo/media/doc/… Image
In his written testimony, former @CapitolPolice Chief Sund told Congress the failure to prevent @uscapitol against an armed insurrection were not the result of poor planning but intelligence failures rules.senate.gov/imo/media/doc/… ImageImage
In his written testimony, Michael C. Stenger, former Senate Sergeant at Arms, said "the events of January 6th certainly reveal that a review of Intelligence Led Policing should be done," but had (notably) less to say about its failures rules.senate.gov/imo/media/doc/… Image
In his written testimony, @DCPoliceDept Chief Contee told Congress that DC "did not have intelligence pointing to a coordinated assault on the @uscapitol"
rules.senate.gov/imo/media/doc/… Image
Common thread through all of these sworn statements is that the US government IC did not provide accurate intel on the threat to @CapitolPolice, Sergeants-at-Arms, or @DCPoliceDept.

But researchers & journalists were all able to see what was being organized online, in the open.
There was plenty reporting on what was happening -- again, open source intel.

USCP, DCPD, & Sergeants just weren't reading it? Or took seriously?

They're pointing fingers are pointing at @FBI & @DHSgov.

Remember, DHS told analysts to downplay threats:
Consensus of the witnesses:
-planned, coordinated attack on the @uscapitol
-Pentagon took hours to deploy the National Guard.

What Americans need to know:
What DHS & FBI knew, & when they knew it. Was intel withheld?
Why was DoD was so slow? Were any Trump appointees involved?
Today is the first time we've heard much from these former officials.

Have there really been no press conferences by @FBI Director Wray, @TheJusticeDept, & @AliMayorkas at @DHSgov this February? fbi.gov/wanted/capitol…

Standard of transparency here is stunning, & worrisome.
Sund testified to Congress the @CapitolPolice’s intel unit received a report from the @FBI on January 5 that warned extremists were preparing for ‘war' on January 6, but claimed te report never made to him; Irving & Stenger also told Congress they also never saw the @FBI warning
@CapitolPolice @FBI Summary by @amyklobuchar:
1) this was a planned insurrection, & involved white supremacists & extremists. It could have been so much worse w/o bravery of USCP.
2) There was an intel breakdown.
3) Delay in requesting assistance from Guard & DoD sending it
4) DoD hearing next week
And there's @SenGaryPeters noting that a report from DHS on the threat of domestic extremism – and let's be clear it's far-right nationalist & White supremacists – is 8 months late.

Occam's Razor says that's directly related to far-right politicians who were in the White House
For the 1st time, Americans are hearing testimony from @FBI Director Wray about the January 6 insurrection & domestic terrorism threats. Watch online: judiciary.senate.gov/meetings/overs… & on @cspan 3.
Reminder: FBI told us far-right nationalism was a threat in 2020
Image
Senators need to push Wray hard about whether @POTUS45 & @DHSgov downplayed threat of far-right extremism & censored threat assessments.
What did it know about a seditious conspiracy involving far-right militias, & when?
Wray just testified no evidence of “fake Trump supporters.”

• • •

Missing some Tweet in this thread? You can try to force a refresh
 

Keep Current with Alex Howard

Alex Howard Profile picture

Stay in touch and get notified when new unrolls are available from this author!

Read all threads

This Thread may be Removed Anytime!

PDF

Twitter may remove this content at anytime! Save it as PDF for later use!

Try unrolling a thread yourself!

how to unroll video
  1. Follow @ThreadReaderApp to mention us!

  2. From a Twitter thread mention us with a keyword "unroll"
@threadreaderapp unroll

Practice here first or read more on our help page!

More from @digiphile

3 Mar
Last year, I published a survey of transparency in legislative support agencies, which are exempt from FOIA: firstbranchforecast.com/2020/02/06/foi…
@USCBO & @USGAO were open & responsive.

@librarycongress @uscapitol & @CapitolPolice …were not.

#opengov
@USCBO @USGAO @librarycongress @uscapitol @CapitolPolice Of note: Acting @CapitolPolice Chief testified to Congress she has not held a press conference, & expects she never will: firstbranchforecast.com/2021/03/01/for…
USCP is the least transparent law enforcement entity of its size in the USA, & should be subject to the FOIA: washingtonpost.com/investigations…
@USCBO @USGAO @librarycongress @uscapitol @CapitolPolice The @CapitolPolice budget is $515 million for FY 2021 (~10% of TOTAL Legislative branch funding!) ~2,450 employees, ~2,000 of whom are sworn officers, & is now asking for more $ after the worst leadership & management failure in its history. firstbranchforecast.com/2021/01/06/a-p… Image
Read 4 tweets
3 Mar
The @opengovpart put the United Kingdom “under review” for failing to involve its public in co-creating an #opengov plan & submitting 2 late.
I remember when OGP restored the US after we released a weak “action plan”
opengovpartnership.org/wp-content/upl…
Wait until OGP learns what @POTUS45 did ImageImageImageImage
When @opengovpart put the US “under review,” who noticed?
Watchdogs had decried corruption & illiberalism; most didn’t participate in the forums.
No far-right media reported “censure.” (Sure wasn’t on Fox.)
After 4th NAP submitted, OGP acted as if US was healthy, & lifted review.
The Biden @WhiteHouse has been silent since January 21 on @opengovpart & many #opengov policies, personnel, & programs. @WeThePeople44, the “flagship commitment” under @POTUS44, is gone. @POTUS still hasn’t answered questions about any of it: governing.digital/letters/letter… ImageImageImage
Read 7 tweets
1 Mar
Here’s @Twitter’s new #COVID19 misleading info @Policy, which includes details of “strikes” for repeated offenders: help.twitter.com/en/rules-and-p… Of note? Twitter will not add a feature for consumers to flag misinformation or disinformation about masks, vaccines. ImageImageImageImage
This may put journalists reporting on PPE shortages or other governmental failures into conflict with the new @Policy. What if authorities misled about prevalence or death?
Much depends on health authorities @Twitter relies on being right. (Cf. @WHO @CDCgov on masks a year ago.) ImageImageImageImage
What is NOT in violation of Twitter’s new #covid19 misinformation @Policy?

“Strong commentary, opinions, and/or satire” if they don’t contain false or misleading statements of facts, & “counterspeech.”

(TBD how @WSJopinion fares. Watch how FDRLST is handled.) Image
Read 10 tweets
28 Feb
“social media companies have to be responsible for verifying what are real news sources and what are not —and tagging things as disinformation. And being transparent around ‘Who are these pages, who’s funding them, what’s their budget’?”-@MichaelDTubbs cjr.org/special_report…
As @ybenkler reminded me, lying about politicians is protected by the First Amendment, &, unlike a Facebook or Twitter moderating an account or Page, governments removing a site of literal fake news would raise speech issues:
defusingdis.info/2019/01/17/how…
Defamation law is an option.
When a Senator asked me how to deal with a fake news website in his state, I didn’t suggest taking it down, & suggested he do many of things that Tubbs did:
sunlightfoundation.com/2017/12/19/win…
Politicians have limited options.

Search & social media companies need to ID “pink slime” sites.
Read 6 tweets
26 Feb
The Book of Exodus describes God punishing the Israelites with a plague for making a gold calf. (The Second Commandment bans idolatry.)

Cartoonists used this to satire the cult of Trump.

Now, life has imitated art — but Christian nationalism is no joke:
npr.org/2021/02/24/970… ImageImageImageImage
If you’re not following this closely, the vision of Christian nationalism is incompatible with a pluralistic, multiracial democracy.
It’s the direct descendant of the Confederacy & white supremacy.
It’s key to understanding Trumpism & the 1/6 insurrection: nytimes.com/2021/01/11/us/… ImageImage
A minority of Republicans have now repudiated the Big Lie & Trumpism, as “far-right populism,” not “conservatism,” noting the deification of Trump & his immorality, but @MJGerson doesn’t name Christian nationalism (or White nationalism) for what they are washingtonpost.com/opinions/there… ImageImageImage
Read 5 tweets
17 Feb
Republicans are misleading Americans into blaming the Texas blackouts on renewable energy sources, like wind.
Reality: icy conditions knocked plants offline & froze coal stores. Grid wasn’t designed for cold.
washingtonpost.com/politics/2021/…
It’s Australia redux:
“Most of the shortfall in electric power generation during the current cold snap is the result of natural gas & coal powered plants going offline.” reason.com/2021/02/16/ren…
By falsely asserting otherwise, @WSJopinion is misleading subscribers, & further damaging @WSJ’s reputation. Image
This headline by @VICENews is fair, factual, & accurate: vice.com/en/article/88a… If you see the cause of the Texas blackouts falsely associated with renewable energy or wind turbines by a politician, follow the money to their conflicts of interest in the oil & gas industry.
Read 4 tweets

Did Thread Reader help you today?

Support us! We are indie developers!


This site is made by just two indie developers on a laptop doing marketing, support and development! Read more about the story.

Become a Premium Member ($3/month or $30/year) and get exclusive features!

Become Premium

Too expensive? Make a small donation by buying us coffee ($5) or help with server cost ($10)

Donate via Paypal Become our Patreon

Thank you for your support!

Follow Us on Twitter!