Guidelines for containment of COVID-19
#BreakTheChain
Guidelines for containment of COVID-19
#BreakTheChain
Guidelines for containment of COVID-19
#BreakTheChain

• • •

Missing some Tweet in this thread? You can try to force a refresh
 

Keep Current with CMO Maharashtra

CMO Maharashtra Profile picture

Stay in touch and get notified when new unrolls are available from this author!

Read all threads

This Thread may be Removed Anytime!

PDF

Twitter may remove this content at anytime! Save it as PDF for later use!

Try unrolling a thread yourself!

how to unroll video
  1. Follow @ThreadReaderApp to mention us!

  2. From a Twitter thread mention us with a keyword "unroll"
@threadreaderapp unroll

Practice here first or read more on our help page!

More from @CMOMaharashtra

5 Apr
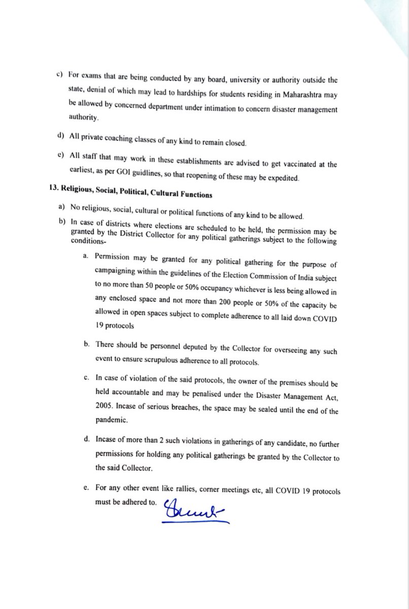
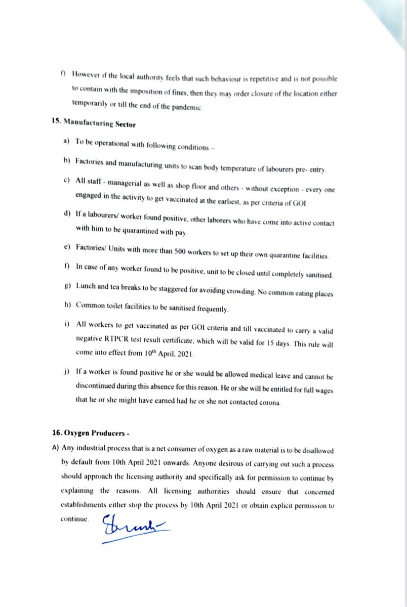
Guidelines for Containment and Management of Covid-19
#BreakTheChain Image
Imposition of Section 144 and Night Curfew, Outdoor Activity Image
Essential services to include the following Image
Read 17 tweets
2 Apr
CM Uddhav Balasaheb Thackeray’s address to state today;

I got several calls today asking me if a lockdown will be imposed from midnight.

Firstly, I am not here to scare you. I am going to lay the present situation in front of you.
It has been a year since we started our battle with this virus.

Some time ago, it felt that we had managed to conquer the virus together. In January-February, it seemed that COVID was a thing of the past.
Unfortunately, the fears of experts has proved right. From March, the second wave of Corona, which is more severe than the previous one, began.

I will not answer the question about a fresh lockdown for now. But I feel I must appraise you about the present situation.
Read 18 tweets
2 Apr
मुख्यमंत्री उद्धव बाळासाहेब ठाकरे यांनी महाराष्ट्रातील जनतेशी संवाद साधताना खालील मुद्दे मांडले :

मधल्या काळात आपण सर्वजण मिळून या व्हायरसला रोखण्यात यशस्वी झालो होतो. पण आपण सगळे हातात हात घालून लढलो म्हणून ते शक्य झाले.
संपूर्ण जगाचीच परिस्थिती दोलायमान आहे.
मधल्या काळात आपण शिथील झालो. शस्त्र टाकल्यासारखी परिस्थिती निर्माण झाली. मी तेव्हाही सांगत होतो, की थोडा धीर धरा.
जी भीती मलाच नव्हे, तर या विषयातल्या तज्ज्ञांना वाटत होती, ती खरी ठरली.
हा विषाणू नवा अवतार धारण करून आपल्याला संकटात टाकत आहे आणि आपली परीक्षा पाहात आहे.
कोविडची साथ सुरू झाली तेव्हा या विषाणूंची चाचणी होऊ शकते अशा दोनच प्रयोगशाळा राज्यात होत्या
आज त्या चाचण्या करणाऱ्या जवळपास ५००लॅब्ज आपण तयार केल्या आहेत.
मुंबईत दररोज सुमारे ५०००० चाचण्या करत आहोत.
महाराष्ट्रामध्ये दर दिवशी चाचण्या करण्याची क्षमता आपण जवळपास १८२००० पर्यंत नेली.
Read 14 tweets
27 Mar
मुख्यमंत्री उद्धव बाळासाहेब ठाकरे यांच्या अध्यक्षतेखालील बैठकीत काल राज्यभरातील कोविडसंदर्भातील परिस्थितीचा आढावा घेण्यात आला. कोविडचा संसर्ग थोपविण्यासाठी १५ एप्रिल २०२१ पर्यंत काही निर्बंध लावण्यात आले आहेत:
५ किंवा त्यापेक्षा जास्त व्यक्तींना रात्री ८ ते सकाळी ७ या दरम्यान एकत्र येण्यास मनाई आहे.

या वेळेत सागरी किनारे,उद्याने, बागा बंद राहतील.

कुठलेही सामाजिक, धार्मिक,राजकीय कार्यक्रम, मेळाव्यांना परवानगी नाही. सभागृह, नाट्यगृहे या कारणांसाठी उपयोगात आणता येणार नाही.
सर्व एक पडदा व मल्टीप्लेक्समधील चित्रपटगृहे, मॉल्स, सभागृहे, उपाहारगृहे रात्री ८ ते सकाळी ७ बंद राहतील.

या वेळेत टेक होम डिलिव्हरी सुरू राहील.

विवाह समारंभासाठी ५० पेक्षा जास्त व्यक्तींना एकत्र येण्यास मनाई असेल.

अंत्यसंस्कारासाठी २० पेक्षा जास्त व्यक्ती एकत्र येऊ शकणार नाहीत.
Read 7 tweets
21 Feb
CM Uddhav Balasaheb Thackeray’s address to state today;

We are meeting after several days. You may be aware of the reasons for today’s meeting.
I wanted to meet you for reasons apart from Corona. But you are not at home nowadays. No one wants to sit at home for no reason, including myself. Of course, these restrictions were necessary.
In the first week of March, Maharashtra will complete a year since the first Corona patient was detected.

The other day, someone asked me about my most satisfying moment in those difficult days of the lockdown. I said it was that you all accepted me as a member of your family.
Read 23 tweets
20 Feb
मुख्यमंत्री उद्धव बाळासाहेब ठाकरे यांनी आज नीती आयोगाच्या सहाव्या बैठकीत विविध मुद्दे मांडले. ही बैठक पंतप्रधान श्री. नरेंद्र मोदी यांच्या अध्यक्षतेखाली दूरदृश्य प्रणालीद्वारे पार पडली. राज्यातील विविध प्रकल्पांना केंद्रांकडून साह्य मिळणे अपेक्षित असल्याचे त्यांनी सांगितले. Image
उद्योग व्यवसायांच्या बाबतीत आपली स्पर्धा इतर देशांबरोबर असली पाहिजे,राज्यांमध्ये जीवघेणी स्पर्धा नको. केंद्राने कार्यक्षमता व गुंतवणुकीसाठी आकर्षकता अशा निकषांवर निकोप स्पर्धेला प्रोत्साहन द्यावे. काही राज्ये वीज सवलतीच्या, जागेच्या दराच्या ऑफर्स देतात. बार्गेनिंग केले जाते. Image
राज्यांत स्पर्धा जरूर असावी पण ती सवलती किती देतात अशी आर्थिक नसावी तर प्रशासकीय कार्यक्षमता व उपलब्ध सुविधांवर निकोप व्हावी. केवळ पैशाच्या स्वरूपात गुंतवणुकीचा विचार न करता रोजगार किती मिळेल याचाही विचार व्हावा. असे झाले तर खऱ्या अर्थाने आपण आत्मनिर्भर बनू. Image
Read 12 tweets

Did Thread Reader help you today?

Support us! We are indie developers!


This site is made by just two indie developers on a laptop doing marketing, support and development! Read more about the story.

Become a Premium Member ($3/month or $30/year) and get exclusive features!

Become Premium

Too expensive? Make a small donation by buying us coffee ($5) or help with server cost ($10)

Donate via Paypal Become our Patreon

Thank you for your support!

Follow Us on Twitter!