😟 ANSIEDAD Y EJERCICIO FÍSICO: ¿PUEDE AYUDARTE?

👉🏻Las personas que viven con trastornos ansioso-depresivos aumenta. Encontrar estrategias a nivel mental y de estilo de vida va a ser fundamental para mejorarlo.

👨‍⚕️¿Puede el ejercicio físico ayudarnos a prevenir la ansiedad? 🧵👇🏻
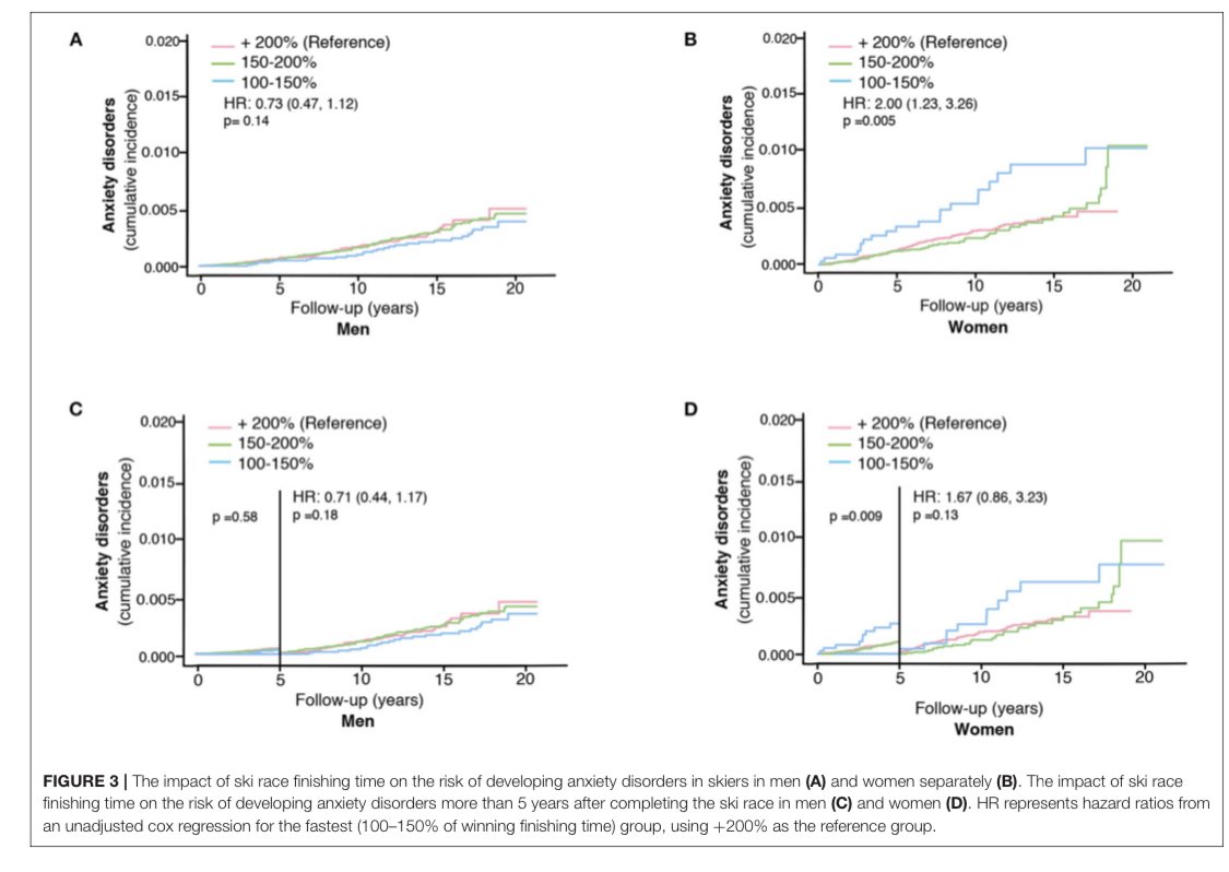
😲 ⛷ Muy interesante estudio de Svensson et al 2021 dónde siguen a 395369 personas durante 21 años que el 38% realizaban ski de ultra larga distancia. Cómo veís, es una cohorte grande y durante mucho tiempo.
🤓El objetivo es comparar esta cohorte de personas que realiza actividad física con la población general.
RESULTADOS

⛷Las personas que esquían tienen menor probabilidad de desarrollar ansiedad (HR 0.42).

⛷🚀A considerar que sólo en el género femenino la busqueda dé obtención de mejores marcas se asociana a niveles de ansiedad mayores y no así en varones.
CONCLUSIÓN: El ejercicio físico es un gran aliado para nuestra salud mental.

PD: si, es un estudio observacional y hay que entender las limitaciones. Pero como digo siempre, las limitaciones no invalidad, sinó que contextualizan los resultados.

• • •

Missing some Tweet in this thread? You can try to force a refresh
 

Keep Current with Antelm Pujol, MD

Antelm Pujol, MD Profile picture

Stay in touch and get notified when new unrolls are available from this author!

Read all threads

This Thread may be Removed Anytime!

PDF

Twitter may remove this content at anytime! Save it as PDF for later use!

Try unrolling a thread yourself!

how to unroll video
  1. Follow @ThreadReaderApp to mention us!

  2. From a Twitter thread mention us with a keyword "unroll"
@threadreaderapp unroll

Practice here first or read more on our help page!

More from @AntelmPujol

Jan 24
🥤 COCA-COLA LIGHT Vs COCA-COLA NORMAL: ¿CUÁL ES MEJOR?

🤓Interesantísimo estudio de Pearson et al. 2021 que comparan el impacto de una bebida con edulcorantes y de una bebida con la misma composición con azúcar en distintos parámetros de salud.

🤭¿Quién será mejor? 🧵👇🏻 Image
🧐Estudio cruzado (ya sabéis que me gusta porqué elimina la variabilidad interpersonal) realizado en ocho sujetos sanos en tres situaciones distintas:

1️⃣ Comida control + coca-cola light
2️⃣ Comida control + coca-cola normal
3️⃣ Comida control + agua
🆒Se estudia el imapcto de estas bebidas en: oxidación de grasas, oxidación de carbohidratos, azúcar en sangre, niveles de insulina y concentración de triglicéridos.

📶También se estudió si tenían algun impacto en el metabolismo en reposo.
Read 10 tweets
Jan 16
🤕¿QUÉ SON LAS AGUJETAS? ¿SON UN BUEN INDICADOR DE HABER HECHO UN BUEN ENTRENO?

🚀Las agujetas son vistos por algunos como un signo de haber entrenado duro y bien. Por tanto, ¿son las agujetas un buen indicador de como entrenas?

Coge palomitas… HILAZO 🧵🍿
🧐¿Por qué se producen?

📌Daño MICROSCÓPICO a nivel muscular y de tejido conmectivo, que esto condiciona dos cosas:
1. Sensibilización de los nociceptores (receptores de membrana que perciben el dolor)
2. Salida de elementos proinflamatorios de la célula potenciando lo anterior
📌Estres metabólico: Incremento de la permeabilidad celuar que atrea a neutrofilos, genera ROS … que condiona una disrupción de la matriz extracelular
Read 12 tweets
Jan 15
☕️💦EL CAFÉ DESHIDRATA: ¿MITO O REALIDAD?

🧐Killer et al en 2014 se hacen esta pregunta.

🤓Se ha hipotetizado que el café aumenta la diuresis y que esto, condicionaría un riesgo para la deshidratación.

🆘Pero, ¿es esto así? Hilo 🧵👇🏻 ImageImage
🤓En este estudio diseñado de forma cruzada (esto elimina la variabilidad interpersonal) se compara la ingesta de agua vs ingesta de café en 50 hombres sanos que consumen habitualmente café. Image
🧐Por tanto, ¿cómo fue el estudio?

👉🏻Se controló actividad física, ingesta de comida y fluidos y los participantes tomaron:

☕️Durante 3 días 4×200 mL de café con un total de 4 mg/kg de cafeína

💦 Durante otros 3 días 4×200 mL de agua Image
Read 9 tweets
Jan 4
🍳🥚¿COMER HUEVOS SUBE EL COLESTEROL?

🤓En la revisión publicada por Blesso et al 2018 revisa la literatura existente sobre el impacto de la ingesta de huevos en el colesterol. ¿Que impacto tendrá?

Hilo 🧵👇🏻
❎Primero de todo, la ingesta de huevos NO SON SÓLO COLESTEROL. Los huevos contienen otros nutrientes interesantes para nuestra salud: compuestos bioactivos (luteina, zeaxatina...)…

🧬 Esto se podría explicar posibles beneficios…
☝🏻 McNamara en el 2000 predice un cambio de 2.2–2.5 mg/dL en colesterol total por 100 mg de colesterol dietético ingerido. Equivalente a 2–3% en cambio de colesterol total por huevo ingerido
Read 10 tweets
Jan 2
🦋 ¿CÓMO AFECTA LA INGESTA DE NUTRIENTES AL FUNCIONAMIENTO TIROIDEO?

🤓Tanto el hiper el hipotiroidismo son problemas médicos frecuentes. El correcto tratamiento farmacológico será clave pero no debemos olvidar el papel de la NUTRICIÓN…

☝🏻¿Cómo no puede ayudar?

Hilo 🧵👇🏻
🍠 Una cantidad adecuada de carbohidratos de calidad es clave para la regulación de las hormonas tiroideas.

❌La cantidad de carbohidratos puede influir reduciendo de forma significativa la producción de T3
😱Un déficit energético demasiado severo y/o prolongado en el tiempo puede disminuir la producción de hormonas tiroideas. Se hipotetiza que sucedería como mecanismo de “supervivencia “ antes la disminución de energía proporcionada.
Read 10 tweets
Jan 2
🦠¿ES MEJOR PCR O ANTÍGENOS?

💦 Para la variante Omicron parece que existe mayor concentración de virus en SALIVA que en muestra naso-faríngea (a diferencia de delta)

☝🏻Una información más a considerar a la hora de seleccionar el método de detección
Fuente 👇🏻
Read 4 tweets

Did Thread Reader help you today?

Support us! We are indie developers!


This site is made by just two indie developers on a laptop doing marketing, support and development! Read more about the story.

Become a Premium Member ($3/month or $30/year) and get exclusive features!

Become Premium

Too expensive? Make a small donation by buying us coffee ($5) or help with server cost ($10)

Donate via Paypal

Or Donate anonymously using crypto!

Ethereum

0xfe58350B80634f60Fa6Dc149a72b4DFbc17D341E copy

Bitcoin

3ATGMxNzCUFzxpMCHL5sWSt4DVtS8UqXpi copy

Thank you for your support!

Follow Us on Twitter!

:(