Greg Depow Profile picture
Aug 25, 2022 9 tweets 6 min read Read on X
New paper just accepted at @SciReports w. @hauselin + @minzlicht!🥳👀Cognitive Effort for Self, Strangers and Charity #scicomm #science #psychology. Building from work by @thepsychologist on physical effort 💪 we examined decisons to invest mental effort for self and others🧠.🧵
Participants repeatedly chose to invest effort or not in exchange for money for themselves, for a charity they selected, or for a stranger, making 75 choices for each. They then added a number (e.g. 3) to 4 digits for a higher reward 💰, or added 0 for a lower baseline reward 🪙. On each trial, the target (...
We examined their revealed preferences to determine how participants subjectively valued their own cognitive effort when working for themselves, a charity, and a stranger. #econtwitter Like physical effort, people avoided mental effort, and were more willing to work for the self. Proportion of trials where ...
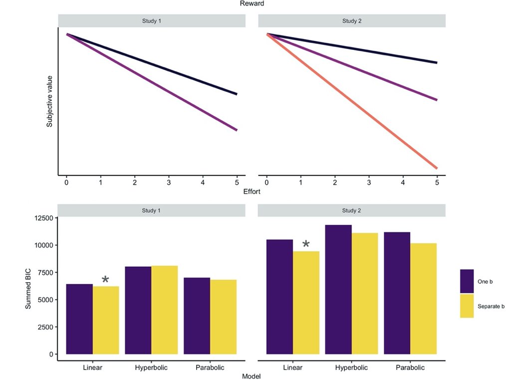
Using #computational modeling, we looked at the shape of cognitive effort discounting. Unlike physical effort, which typically discounts the value of rewards parabolically, we found that discounting due to cognitive effort was best described as linear. Rewards were discounted by ...
However, some participants were more willing to invest #effort for charity and strangers. Using #MachineLearning, we found individuals whose self-representations overlapped highly with their representation of charity or stranger were more willing to invest effort on their behalf.
We trained linear SVM's on behavioural data during decisions for self and others, then tested their accuracy at decoding self from other trials. When self-other overlap is low, decoding accuracy is high. When overlap is high, representations are similar, and accuracy is low 🤖🎯.
We expected individuals with high self-other overlap to be more #prosocial. Thus, we should see a negative correlation between decoding accuracy and prosocial effort. Indeed, we found that for both charity and stranger, higher overlap predicted greater effort on their behalf. Difference in effortful cho...
In sum, individuals avoided mental effort at the cost of finanicial reward, especially when earning rewards for others, including a self selected charity. However, people who represented others more similarly to themselves were also more willing to invest effort on their behalf.
It was a pleasure working with @minzlicht and @hauselin on this project🤩, which went through many versions, and improved a lot from reviewer feedback. I certainly learned a lot! You can check out the accepted version of the preprint here #OpenScience: psyarxiv.com/zr3we

• • •

Missing some Tweet in this thread? You can try to force a refresh
 

Keep Current with Greg Depow

Greg Depow Profile picture

Stay in touch and get notified when new unrolls are available from this author!

Read all threads

This Thread may be Removed Anytime!

PDF

Twitter may remove this content at anytime! Save it as PDF for later use!

Try unrolling a thread yourself!

how to unroll video
  1. Follow @ThreadReaderApp to mention us!

  2. From a Twitter thread mention us with a keyword "unroll"
@threadreaderapp unroll

Practice here first or read more on our help page!

More from @GDepow

Dec 11, 2020
Really excited to share a new In Press article at @PsychScience with @minzlicht and @ZoeLFrancis titled The Experience of Empathy in Everyday life! This is my first first-author publication and I'm thrilled to finally tell you about it😀! Preprint psyarxiv.com/hjuab, thread:
We used quota-sampling and experience sampling to examine everyday experiences of empathy and their connection with subjective well-being and prosocial behaviour in the everyday lives of a sample of U.S. adults that was representative of the population on key demographics 1/8.
Our sample of 246 adults answered 7,343 surveys, yielding a rich dataset we are happy to open to interested researchers (osf.io/y3ud7/). We found some really interesting findings that can inform our understanding of empathy moving forward. 2/8
Read 9 tweets

Did Thread Reader help you today?

Support us! We are indie developers!


This site is made by just two indie developers on a laptop doing marketing, support and development! Read more about the story.

Become a Premium Member ($3/month or $30/year) and get exclusive features!

Become Premium

Don't want to be a Premium member but still want to support us?

Make a small donation by buying us coffee ($5) or help with server cost ($10)

Donate via Paypal

Or Donate anonymously using crypto!

Ethereum

0xfe58350B80634f60Fa6Dc149a72b4DFbc17D341E copy

Bitcoin

3ATGMxNzCUFzxpMCHL5sWSt4DVtS8UqXpi copy

Thank you for your support!

Follow Us!

:(