Tan Tran Profile picture
16 Mar, 9 tweets, 5 min read
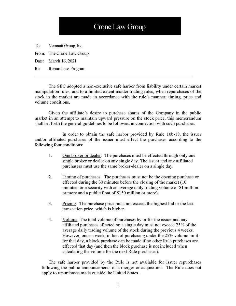
1. Good morning, everyone! Turns out it's not so simple for me to purchase shares of @Vemanti $VMNT. I must adhere by SEC Rule 10B-18. Our counsel is drafting up the memo. Will share with you.

Also, I want to give you a brief summary of what we're working on.
2. We have:

- #fintech M&A transactions which we expect to close by end of Q2. These are already-established players in their respective markets. One w/ 2M+ users. Part of our pan-Asia strategy. This will take us to another level in terms of P&L fundamentals and growth.
3.

- a multi-layer yield #Blockchain #Stablecoin #Crypto project with key partners. Working through the operational details. Aiming to launch this in Q2. Goal is to use #cryptocurrencies to power #fintech products and services that real people and businesses can use.
4.
- an active project with a leading bank's capital division in Vietnam to launch a #fintech platform using #Blockchain to create SME-class bond markets as short-term and small-ticket debt instruments. Multi-billion market and a game-changer. We like this one a lot!
5.

- ongoing negotiation to gain access to #Gold and #Silver mines in #Australia. This is in addition to Mali. Part of our long-term hard assets assurance strategy for leverage and hedging against #Hyperinflation.
6. There are more....but above is just to give you the gist of things. You may wonder why we don't have any news. These things take time to materialize as there are a lot of technical, commercial, and legal details that go into each deal. We want to announce only when done.
7. Also, we're under strict confidentiality agreements, so there's only so much I can share. Best of all, we continue to be free of debt, notes, and long-term liabilities. All of the above is for us to be above $1B in market cap and to be on #NASDAQ ASAP.
8. The team and I are working for you. We know where we need to go. Please be patient and allow us time to deliver for you. Feel free to DM or email us. As always, I thank you!
So, here's the memo from our legal re: SEC 10B-18 as an FYI.

• • •

Missing some Tweet in this thread? You can try to force a refresh
 

Keep Current with Tan Tran

Tan Tran Profile picture

Stay in touch and get notified when new unrolls are available from this author!

Read all threads

This Thread may be Removed Anytime!

PDF

Twitter may remove this content at anytime! Save it as PDF for later use!

Try unrolling a thread yourself!

how to unroll video
  1. Follow @ThreadReaderApp to mention us!

  2. From a Twitter thread mention us with a keyword "unroll"
@threadreaderapp unroll

Practice here first or read more on our help page!

Did Thread Reader help you today?

Support us! We are indie developers!


This site is made by just two indie developers on a laptop doing marketing, support and development! Read more about the story.

Become a Premium Member ($3/month or $30/year) and get exclusive features!

Become Premium

Too expensive? Make a small donation by buying us coffee ($5) or help with server cost ($10)

Donate via Paypal Become our Patreon

Thank you for your support!

Follow Us on Twitter!