This systematic review finds that the literature overall suggests that the metabolizable energy of nuts is lower than that predicted by Atwater factors, something that may in part explain the lack of an effect of nut consumption on body weight reported in the literature.
- This systematic review with narrative synthesis aimed to examine the metabolizable energy of tree nuts and peanuts in vitro and in adult humans.
- Findings suggest that the metabolizable energy of the nut types investigated (almonds, cashews, hazelnuts, pistachios, walnuts, and peanuts) is lower than what would be expected following application of Atwater factors.
- In vitro studies also suggested potential mechanisms for these effects, which appeared to be due to lower lipid release following nut consumption.
- Human studies indicated greater fecal fat excretion following nut consumption, though effects varied according to the nut processing method.
- "Taken together, regardless of nut type, the metabolizable energy was found to be lower than that predicted by Atwater factors...
"...potentially influenced by a lower lipid release during digestion, increased fat in feces, the processing form of the nut (eg. roasted, flour) and/or the digestibility of the overall pattern of eating...
"...These results may in part explain the lack of an effect of nut consumption on body weight reported in the literature."
The metabolizable energy and lipid bioaccessibility of tree nuts and peanuts: a systematic review with narrative synthesis of human and in vitro studies (open access)

doi.org/10.1016/j.advn…

#nutrition #diet #weightloss #nuts #peanuts #fiber #fibre #weightloss

• • •

Missing some Tweet in this thread? You can try to force a refresh
 

Keep Current with Nick Krontiris

Nick Krontiris Profile picture

Stay in touch and get notified when new unrolls are available from this author!

Read all threads

This Thread may be Removed Anytime!

PDF

Twitter may remove this content at anytime! Save it as PDF for later use!

Try unrolling a thread yourself!

how to unroll video
  1. Follow @ThreadReaderApp to mention us!

  2. From a Twitter thread mention us with a keyword "unroll"
@threadreaderapp unroll

Practice here first or read more on our help page!

More from @nick_krontiris

Mar 25
In this one, cardiorespiratory fitness was found to be associated with a lower risk of incident Alzheimer’s disease and related dementias, with the association being graded in nature so that a higher level of fitness was associated with a lower level of risk. Image
- The study examined the association between cardiorespiratory fitness expressed in METs and incident Alzheimer’s disease and related dementias in a large national cohort of US veterans with a mean age of 60.5 years during up to 20 years of follow-up.
- The study’s findings demonstrated an inverse, graded association between cardiorespiratory fitness and the incidence of Alzheimer’s disease and related dementias regardless of sex or race.
Read 4 tweets
Mar 25
This systematic review and meta-analysis of prospective cohort studies suggests that the consumption of alcohol is positively related to the risk of total, osteoporotic and hip fractures. Image
- The meta-analysis based on 42 prospective cohort articles indicated that high alcohol consumption is likely to increase the risk of total, osteoporotic and hip fractures, but not wrist and vertebral fractures.
- A linear positive relationship between alcohol consumption and risk of total fractures was found.
Read 6 tweets
Mar 25
Using data from the Kuopio Ischemic Heart Disease study, this one suggests that high cardiorespiratory fitness levels may attenuate the increased risk of cardiovascular disease mortality in individuals with elevated systolic blood pressure in men aged 42–61 years. Image
- The Kuopio Ischemic Heart Disease study is an ongoing population-based prospective cohort study that was designed to investigate risk factors for atherosclerotic cardiovascular disease.
- The study recruited a general population sample of 2682 men aged 42–61 years who were residents in eastern Finland.
Read 8 tweets
Mar 25
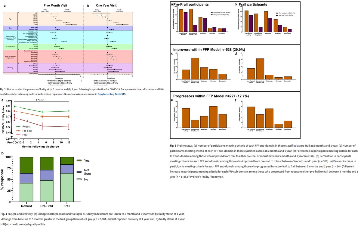
The findings of this one suggest that frailty is a common finding in survivors of COVID-19 requiring hospitalisation, as both physical frailty and pre-frailty were found to be common at 1 year following discharge, together remaining present in two-thirds of its participants. Image
- "While some recovery is seen between 5 months and 1 year we identified that those least likely to recover were older, more likely to be female, have been treated in ICU, have multiple co-morbidities and live in an area with higher levels of deprivation."
- "Those who remain frail or pre-frail at 1 year are more likely to report that they have not recovered from their acute illness, while those who are frail suffered a greater and more persistent fall in their HRQoL from prior to hospitalisation for COVID-19."
Read 6 tweets
Mar 25
In this one, low muscle muscle mass, as measured by the skeletal muscle mass index, combined with further muscle losses within a period of 2 years was associated with diabetes occurrence in Chinese individuals with a mean age of 57.7 years. Image
- Baseline skeletal muscle mass index was associated with future diabetes incidence, but only in adults with impaired glucose tolerance.
- Higher muscle loss rates were associated with an over 2-fold risk of developing diabetes after adjusting for baseline skeletal muscle mass index and other risk factors in adults with normal glucose tolerance and impaired glucose regulation.
Read 6 tweets
Mar 25
This systematic review and meta-analysis finds that blood flow restriction (BFR) combined with low load resistance training appears to be equally effective to high-load resistance training for improving muscle strength in upper body muscles.
- Analysis suggested that blood flow restriction combined with low load resistance may result in better strength and size adaptations compared to similar exercise without BFR in muscles proximal to the applied cuff, with low quality of evidence and mixed findings.
- Low and very low certainty evidence suggested increases in bench press 1RM (2–4 weeks) and in shoulder flexion MVIC (6–8 weeks) in favor of the low-load-with- compared to the low-load-without BFR group.
Read 12 tweets

Did Thread Reader help you today?

Support us! We are indie developers!


This site is made by just two indie developers on a laptop doing marketing, support and development! Read more about the story.

Become a Premium Member ($3/month or $30/year) and get exclusive features!

Become Premium

Don't want to be a Premium member but still want to support us?

Make a small donation by buying us coffee ($5) or help with server cost ($10)

Donate via Paypal

Or Donate anonymously using crypto!

Ethereum

0xfe58350B80634f60Fa6Dc149a72b4DFbc17D341E copy

Bitcoin

3ATGMxNzCUFzxpMCHL5sWSt4DVtS8UqXpi copy

Thank you for your support!

Follow Us on Twitter!

:(