1/
2/
7/
➡️liebertpub.com/doi/full/10.10…
8/

9/
thorax.bmj.com/content/63/Sup…
11/

12/
➡️bit.ly/3dYo2Xn


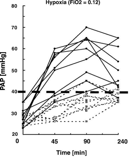
* HPV determines how much shunt we get when we have a patchy pulmonary process. This varies widely from person to person.
* HVD determines how much shortness of breath we feel and how much we increase our ventilation w/ hypoxia. This also varies a lot.
12/
fin/