In the 2-year POUNDS lost weight-loss intervention trial, higher blood DNA methylation level at TXNIP was related to lower fasting glucose, HbA1c, and HOMA IR, and such individuals benefited more in improvements in glycemic control from an average-protein weight-loss diet.
- Higher regional DNA methylation level at TXNIP was associated with lower fasting glucose, HbA1c, and HOMA-IR among participants who were overweight or obese.
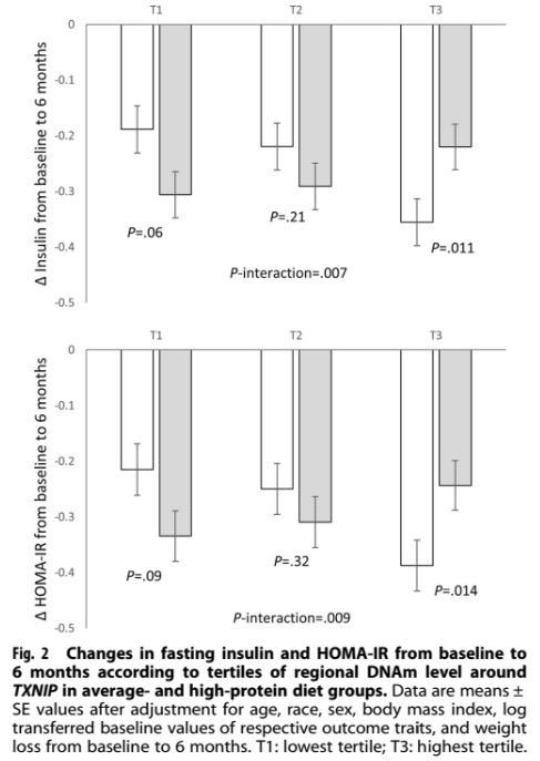
- Dietary protein intakes significantly modified the relation between regional DNA methylation level at TXNIP and changes in insulin and HOMA-IR at 6 months, independent of weight loss.
- Such effect modification became non-significant at 2 years.
Blood DNA methylation at TXNIP and glycemic changes in response to weight-loss diet interventions: the POUNDS lost trial

doi.org/10.1038/s41366…

#MetabolicSyndrome #InsulinResistance #nutrition #diet #weightloss ImageImage

• • •

Missing some Tweet in this thread? You can try to force a refresh
 

Keep Current with Nick Krontiris

Nick Krontiris Profile picture

Stay in touch and get notified when new unrolls are available from this author!

Read all threads

This Thread may be Removed Anytime!

PDF

Twitter may remove this content at anytime! Save it as PDF for later use!

Try unrolling a thread yourself!

how to unroll video
  1. Follow @ThreadReaderApp to mention us!

  2. From a Twitter thread mention us with a keyword "unroll"
@threadreaderapp unroll

Practice here first or read more on our help page!

More from @nick_krontiris

Feb 22
This systematic review and meta-analysis of RCTs comes to the conclusion that ~700 METs-min/week is the minimal dose to elicit clinically important changes in cognition in older adults.
- The estimated minimal exercise dose found that can elicit clinically relevant changes in cognition was 724 METs-min per week, with doses beyond the upper bound of WHO recommended level of physical activity providing less clear benefits.
- 724 METs-min per week is slightly above the lower bound of WHO recommended level of physical activity (i.e. 600 METs-min per week, equivalent to 150 min/week of moderate intensity or 75 min/week of vigorous activity).
Read 12 tweets
Feb 22
This one suggests that conventional daily caffeine intake does not provide sufficient time for the elimination of caffeine and paraxanthine. Image
- Worse still, even though the salivary caffeine nearly reaches a clear state, the caffeine-associated brain responses seem to require a longer time to be fully restored.
"The concurrence of a reduced hippocampal GM intensity and an incomplete caffeine elimination, together with a GM recovery after being deprived of caffeine, underscore the importance of a sufficient cessation period...
Read 5 tweets
Feb 22
This Mendelian randomization analysis suggests that VAT mass is associated with a wide range of CVD outcomes including coronary heart disease, cardiac arrhythmia, vascular diseases, and stroke, with some circulating proteins being potential mediators of this association. Image
- Among these proteins, genetically estimated VAT mass had the highest OR value for the expression of leptin.
- Excessive VAT increased the level of leptin and further increased the incidence of all-cause heart failure, atrial fibrillation and flutter, DVT of lower extremities, pulmonary embolism, and DVT of lower extremities and pulmonary embolism.
Read 4 tweets
Feb 22
This systematic review and meta-analysis aimed to investigate the efficacy of increasing dietary protein ingestion to improve lean body mass gain, skeletal muscle strength, and physical function in healthy subjects.
- Additional protein ingestion together with resistance training leads to small additional lean body mass and lower body strength.
- This effect seems to be more prominent in younger subjects ingesting ≥1.6 g/kg/day.
Read 8 tweets
Feb 22
This study explored the effect of three different modes of resistance training on appetite hormones, cardiometabolic and anthropometric measures in males with obesity.
- 44 males with obesity were randomized to traditional resistance training (TRT, n = 11), circuit resistance training (CRT, n = 11), interval resistance training (IRT, n = 11) or control (C, n = 11) groups.
- All resistance training groups received 50 min of supervised training per session, three days per week, for 12 weeks.
Read 12 tweets
Feb 22
This one suggests that individuals with high serum microRNA-122 levels may be less responsive during diet/physical activity-induced weight loss, as far as hepatic fat content loss is concerned.
- In the current study of participants with abdominal obesity or dyslipidemia from an 18-month randomized, controlled diet and physical activity intervention trial, it was observed that serum miR-122 levels were positively associated with hepatic fat percentage at baseline.
- A greater elevation in miR-122 from baseline to 18 months was associated with a smaller reduction in hepatic fat content during the 18-month intervention process.
Read 5 tweets

Did Thread Reader help you today?

Support us! We are indie developers!


This site is made by just two indie developers on a laptop doing marketing, support and development! Read more about the story.

Become a Premium Member ($3/month or $30/year) and get exclusive features!

Become Premium

Don't want to be a Premium member but still want to support us?

Make a small donation by buying us coffee ($5) or help with server cost ($10)

Donate via Paypal

Or Donate anonymously using crypto!

Ethereum

0xfe58350B80634f60Fa6Dc149a72b4DFbc17D341E copy

Bitcoin

3ATGMxNzCUFzxpMCHL5sWSt4DVtS8UqXpi copy

Thank you for your support!

Follow Us on Twitter!

:(