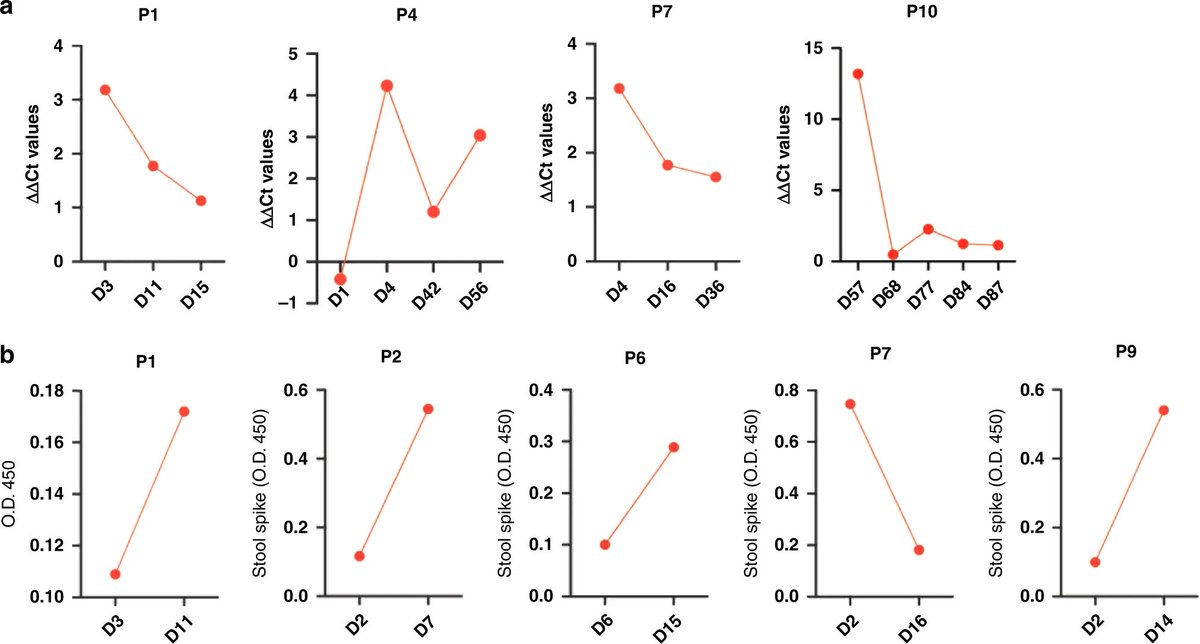
Im Rahmen dieser Studie wurde #SARSCoV2-RNA oder Spike-Protein im Stuhl von 11 von 14 Frühgeborenen nachgewiesen, deren Mütter bereits Wochen vor der Geburt eine #COVID19-Infektion hatten, obwohl die nasalen PCR-Abstriche der Neugeborenen…

#LongCovidKids #diemaskebleibtauf
negativ waren.

Trotz negativer nasaler SARS-CoV-2-PCRs bei allen Neugeborenen wurden virale RNAs und Spike-Proteine im Stuhl von 11 der 14 Neugeborenen bereits am ersten Lebenstag nachgewiesen und nahmen bei 6 Kindern im Laufe der Zeit zu. Stuhlhomogenate von allen 14…
Neugeborenen lösten erhöhte Entzündungswerte von IL-6 und IFN-γ aus Makrophagen aus. Die meisten Neugeborenen waren klinisch gesund, mit Ausnahme eines Kindes, das an einer autoimmunen Lebererkrankung während der Schwangerschaft starb, und eines Kindes, das eine nekrotisierende…
Enterokolitis entwickelte. Diese Befunde deuten auf eine In-Utero-Übertragung von SARS-CoV-2 und mögliche persistente Virusreservoire im Darm der Neugeborenen hin. Das Vorhandensein von SARS-CoV-2-RNA und Spike-Proteinen im Darm von Neugeborenen kann sich möglicherweise auf die…
Entwicklung des Darmmikrobioms und des Immunsystems auswirken; die langfristigen gesundheitlichen Auswirkungen auf die Frühgeborenen sollten weiter untersucht werden.

Studie:

nature.com/articles/s4139…

#COVID19 #ImpfenSchuetzt #diemaskebleibtauf #LongCovid #LongCovidKids #Corona

• • •

Missing some Tweet in this thread? You can try to force a refresh
 

Keep Current with Ralf Wittenbrink

Ralf Wittenbrink Profile picture

Stay in touch and get notified when new unrolls are available from this author!

Read all threads

This Thread may be Removed Anytime!

PDF

Twitter may remove this content at anytime! Save it as PDF for later use!

Try unrolling a thread yourself!

how to unroll video
  1. Follow @ThreadReaderApp to mention us!

  2. From a Twitter thread mention us with a keyword "unroll"
@threadreaderapp unroll

Practice here first or read more on our help page!

More from @RWittenbrink

Aug 20
Werden #COVID19-Impfstoffe uns weiterhin vor Krankenhausaufenthalten und Tod schützen?
Auch wenn Impfstoffe bei den #Omicron-Varianten Infektionen nur noch bedingt verhindern, so schützen sie uns zumindest immer noch gut vor schweren…🧵

#LongCovid #Corona #diemaskebleibtauf
Erkrankungen und Tod. Doch was wäre, wenn die durch Impfung hervorgerufene Immunität ihre Wirksamkeit gegen neue Varianten auf jeden Fall verlieren würde? Zusammen mit einer früheren Arbeit des MIT rückt eine aktuelle Studie der Universität Cardiff diesen Gedanken in den Bereich
des Möglichen. In ihrer Arbeit untersuchen Dolton et al. die Ursprünge der #SARSCoV2-Spike-Protein-Mutation P272L und ihre Auswirkungen auf die T-Zell-Immunreaktionen bei sich Covid-19-Rekonvaleszenten und auch bei Geimpften ohne vorherige Infektion. Ihre Analyse ergab, dass…
Read 12 tweets
Aug 19
Der Tumorsuppressor p53 kann nach einer schweren #COVID19-Infektion akut und anhaltend reduziert sein. Eine langfristige Verringerung von p53 könnte als Risikofaktor für Krebserkrankungen interpretiert werden.

Das p53-Protein hat die…🧵

#Corona #ImpfenSchuetzt #LongCovid
Fähigkeit den Zellzyklus zu unterbrechen und damit die Proliferation, also die Vermehrung und das Wachstum, einer genomisch suspekten oder entarteten Zelle zu verhindern. Die Zelle hat dadurch mehr Zeit, die DNA-Schäden zu reparieren oder bei nicht korrigierbaren Fehlern des…
Genoms den programmierten Zelltod einzuleiten - p53 ist also ein Tumorsuppressor. Der Verlust der p53-Funktion spielt daher eine kritische Rolle bei der Entstehung von Krebs. SARS-CoV-2 hat ähnliche Strategien wie das Epstein-Barr-Virus (EBV) und das Hepatitis-B-Virus (HSV1)…
Read 8 tweets
Aug 18
Die demotivierende Botschaft, dass die Menschen pandemiemüde sind, scheint lediglich eine Ausrede zu sein, um sich vor der harten Arbeit der Politik zu drücken - wenn nicht sogar eine Art Suggestion. Indem sie der …🧵

#COVID19 #LongCovid #Corona #diemaskebleibtauf #SARSCoV2
Öffentlichkeit sagt, dass sie müde sind, senkt die Regierung die Erwartungen, verspricht weniger und entschuldigt ihre eigenen Unzulänglichkeiten - im Einklang mit einer umfassenderen Strategie, die Verantwortung für die Folgen der Pandemie auf den Einzelnen abzuwälzen.
Da jedoch halbe Sachen im Bereich der öffentlichen Gesundheit die Pandemie nur verlängern werden, ist die Aussage "die Menschen sind müde" wahrscheinlich eine sich selbst erfüllende Prophezeiung; sie wird dazu führen, dass sich unsere Lage weiter zuspitzt, ohne dass es zu einer…
Read 5 tweets
Aug 17
Einer für alle?
Neuer Antikörper neutralisiert in Labortests alle bekannten #SARSCoV2-Varianten

Der Antikörper SP1-77 neutralisiert alle SARS-CoV-2-Varianten bis BA.5. Mit dem Fortschreiten der #COVID19-Pandemie haben neuere Varianten…🧵

#LongCovid #Corona #ImpfenSchuetzt
von SARS-CoV-2 Wege gefunden, den Antikörpern zu entgehen, die unser Körper als Reaktion auf Impfungen oder frühere Infektionen bildet. Dies hat zu Durchbruchsinfektionen geführt, und auch einst wirksame Antikörperbehandlungen haben mit der Zeit an Wirksamkeit verloren.
Wissenschaftler haben nach einem Antikörper gesucht, der breit neutralisierend ist, d.h. jede Virusvariante bekämpfen kann, die auftauchen könnte.
Ein Antikörper, der von Forschern der Harvard Medical School und des Boston Children's Hospital entwickelt wurde, scheint nun…
Read 12 tweets
Aug 16
Kann man sich gegen #COVID19 zu oft impfen lassen?
Wissenschaftler aus Freiburg haben dazu in eine Studie veröffentlicht.

 "Wir sehen nach der vierten #Corona-Impfung kein Verschwinden der Immunantwort und auch kein erhöhtes Risiko für Nebenwirkungen",…

#ImpfenSchuetzt
sagt Robert Thimme, einer der Studienautoren und Ärztlicher Direktor der Klinik für Innere Medizin II am Uniklinikum Freiburg. Die Immunantwort der sogenannten T-Gedächtniszellen, die mit der ersten und zweiten Impfung initiiert worden ist, bleibe unverändert stabil. Durch eine…
dritte und vierte Impfung werden darüber hinaus wie bei den beiden vorangegangenen Impfungen die Immunzellen aktiviert und produzieren Antikörper. "Wir haben bisher keinerlei Hinweise darauf, dass das bei einer fünften oder sechsten Impfung anders wäre", sagt Thimme.
Read 5 tweets
Aug 14
Warum eine lebensbedrohliche Schwangerschaftskomplikation auf dem Vormarsch ist
Die Präeklampsie-Rate war jahrelang stetig angestiegen. Dann kam #COVID19, und die Zahlen stiegen sprunghaft an.

Die Präeklampsie ist eine ernste Erkrankung schwangerer Frauen.

#LongCovid #Corona
Sie zählt zu den sogenannten hypertensiven Schwangerschaftserkrankungen, also Erkrankungen mit Bluthochdruck in der Schwangerschaft und kann sowohl Mutter als auch Kind gefährden. "Wir haben nicht nur eine Zunahme der Präeklampsie-Patientinnen, sondern auch eine Zunahme des…
Schweregrads der Präeklampsie festgestellt", so Alison Petraske, Gynäkologin in Princeton, New Jersey. Diese Ergebnisse, so Petraske weiter, scheinen einen gemeinsamen Nenner zu haben. "Es ist ein allgemeines Gefühl: Präeklampsie, intrauterine Wachstumsrestriktion, spätere…
Read 13 tweets

Did Thread Reader help you today?

Support us! We are indie developers!


This site is made by just two indie developers on a laptop doing marketing, support and development! Read more about the story.

Become a Premium Member ($3/month or $30/year) and get exclusive features!

Become Premium

Don't want to be a Premium member but still want to support us?

Make a small donation by buying us coffee ($5) or help with server cost ($10)

Donate via Paypal

Or Donate anonymously using crypto!

Ethereum

0xfe58350B80634f60Fa6Dc149a72b4DFbc17D341E copy

Bitcoin

3ATGMxNzCUFzxpMCHL5sWSt4DVtS8UqXpi copy

Thank you for your support!

Follow Us on Twitter!

:(