Am 3. September waren schätzungsweise 2,3 Millionen Menschen die in UK leben - 3,5 % der Bevölkerung - an #LongCovid erkrankt, was einem von 28 Menschen entspricht. Mehr als 1 Mio. Menschen in 🇬🇧 berichten über Long COVID ein Jahr nach der Infektion.

#COVID19 #CovidIsNotOver
Danny Altmann, Professor für Immunologie am Imperial College London und Experte für #LongCovid, bezeichnete die Situation als zutiefst enttäuschend und merkte an, dass nun ein eindeutiger, anhaltender Aufwärtstrend festzustellen ist. "Dies unterstreicht die Botschaft, dass es…
wirklich töricht ist, sich vorzustellen, wir könnten eine massive, wachsende BA.5-Welle als 'Leben mit dem Virus' und 'nicht schlimmer als eine Grippe' abtun", sagte er. "Long Covid zerstört weiterhin das Leben von Menschen jeden Alters. Ich würde mir wünschen, dass wir alle…
daran erinnern, die Sache ernst zu nehmen - sich boostern zu lassen, bei Treffen in Innenräumen gut zu lüften, Masken in Innenräumen und auf Reisen zu tragen."
Altmann fügte hinzu, die Bevölkerung habe kaum Schutz vor symptomatischen Infektionen.
"Die Auffrischungsimpfung muss
schneller ausgerollt werden", sagte er und fügte hinzu, dass eine weitere Sorge darin besteht, dass die Inanspruchnahme bei jüngeren Anspruchsberechtigten geringer sein könnte. "Die Notwendigkeit der Auffrischungsimpfung wurde nicht deutlich genug kommuniziert, und viele halten…

• • •

Missing some Tweet in this thread? You can try to force a refresh
 

Keep Current with Ralf Wittenbrink

Ralf Wittenbrink Profile picture

Stay in touch and get notified when new unrolls are available from this author!

Read all threads

This Thread may be Removed Anytime!

PDF

Twitter may remove this content at anytime! Save it as PDF for later use!

Try unrolling a thread yourself!

how to unroll video
  1. Follow @ThreadReaderApp to mention us!

  2. From a Twitter thread mention us with a keyword "unroll"
@threadreaderapp unroll

Practice here first or read more on our help page!

More from @RWittenbrink

Oct 8
#COVID19 kann das Gehirn auf (mindestens) sechs Arten schädigen.

Erstens kann die Immunreaktion auf #SARSCoV2 im Atmungssystem eine Neuroinflammation auslösen, die zu einem Anstieg von Zytokinen, Chemokinen und dem Transport von Immunzellen im Gehirn…

#LongCovid #Corona Image
führt und reaktive Zustände der Mikroglia und anderer Immunzellen im Gehirn und den Hirnrändern hervorruft.
Zweitens kann SARS-CoV-2 in seltenen Fällen direkt das Nervensystem infizieren.
Drittens kann SARS-CoV-2 eine Autoimmunreaktion gegen das Nervensystem hervorrufen. Image
Viertens kann die Reaktivierung von latenten Herpesviren wie dem Epstein-Barr-Virus eine Neuropathologie auslösen.
Fünftens können zerebrovaskuläre und thrombotische Erkrankungen den Blutfluss unterbrechen, die Funktion der Blut-Hirn-Schranke stören und zu einer weiteren…
Read 9 tweets
Oct 8
CDC: Mehr als 80 % der Erwachsenen mit #LongCovid berichtet über Schwierigkeiten bei der Durchführung von Alltagsaktivitäten

81 % der Erwachsenen mit Long COVID geben an, dass ihre Langzeitsymptome ihre Fähigkeit zur Verrichtung alltäglicher Aktivitäten…

#COVID19 #Corona Image
beeinträchtigt haben.

Die am Mittwoch von der CDC veröffentlichten Bundesdaten zeigen, dass 15 % der Erwachsenen, die bereits eine COVID-19-Infektion hatten, an Long COVID erkrankt waren. Von diesen Erwachsenen mit Long COVID geben 81 % an, dass ihre Langzeitsymptome…
aufgrund der Erkrankung ihre Fähigkeit zur Ausübung alltäglicher Tätigkeiten beeinträchtigt haben. Ein Viertel der Erwachsenen mit Long COVID gab an, dass die Einschränkungen "erheblich" sind. Die höchste Rate an Einschränkungen der täglichen Aktivitäten ist in der…
Read 9 tweets
Oct 7
Diese Studie hat Plasmazytokinwerte von Personen mit #LongCovid mit denen von gesunden Personen verglichen und festgestellt, dass bei Personen mit Long-COVID die Werte von Interferon gamma und Interleukin-8 (IL-8) um 100 % reduziert waren.

#COVID19 #MECFS #Corona #SARSCoV2 Image
Darüber hinaus fanden die Autoren bei Personen mit Long-COVID eine signifikante Verringerung der Werte von IL-6, IL-2, IL-17, IL-13 und IL-4. Eine Erschöpfung des Immunsystems könnte somit die Ursache für Long-COVID sein, wobei das völlige Fehlen von Interferon gamma
und IL-8 die Heilung der Lunge und anderer Organe nach einer akuten Infektion verhindert und die Fähigkeit, nachfolgende Infektionen abzuwehren, verringert, was beides zu den unzähligen Symptomen beiträgt, unter denen Menschen mit Long-COVID leiden. Image
Read 4 tweets
Oct 7
„Inzidenz in München steigt auf mehr als 1000 - Krankenhäuser im Krisenmodus“
Am Freitagmorgen meldete das Robert-Koch-Institut einen Wert von 1057,3 für die Stadt, in der die Zahlen bereits in der zweiten Oktoberfestwoche sehr stark angestiegen…

#COVID19 #LongCovid #Corona Image
waren. Vor der Wiesn lag die Inzidenz noch bei knapp 200. 5616 neue Corona-Fälle wurden dem RKI übermittelt. Das stellt einen der höchsten Werte seit Beginn der Pandemie dar. Die Folge des neuerlichen Anstiegs: Immer mehr an Corona erkrankte Patientinnen und Patienten kommen auch
ins Krankenhaus. Die Lage in den Kliniken, insbesondere in den Notaufnahmen, spitzt sich weiter zu. Immer mehr Patienten müssen abgewiesen werden. Der Pflegenotstand, sehr viele auch an Corona erkrankte Mitarbeiter und immer weniger zur Verfügung stehende Betten geben Anlass zur
Read 6 tweets
Oct 7
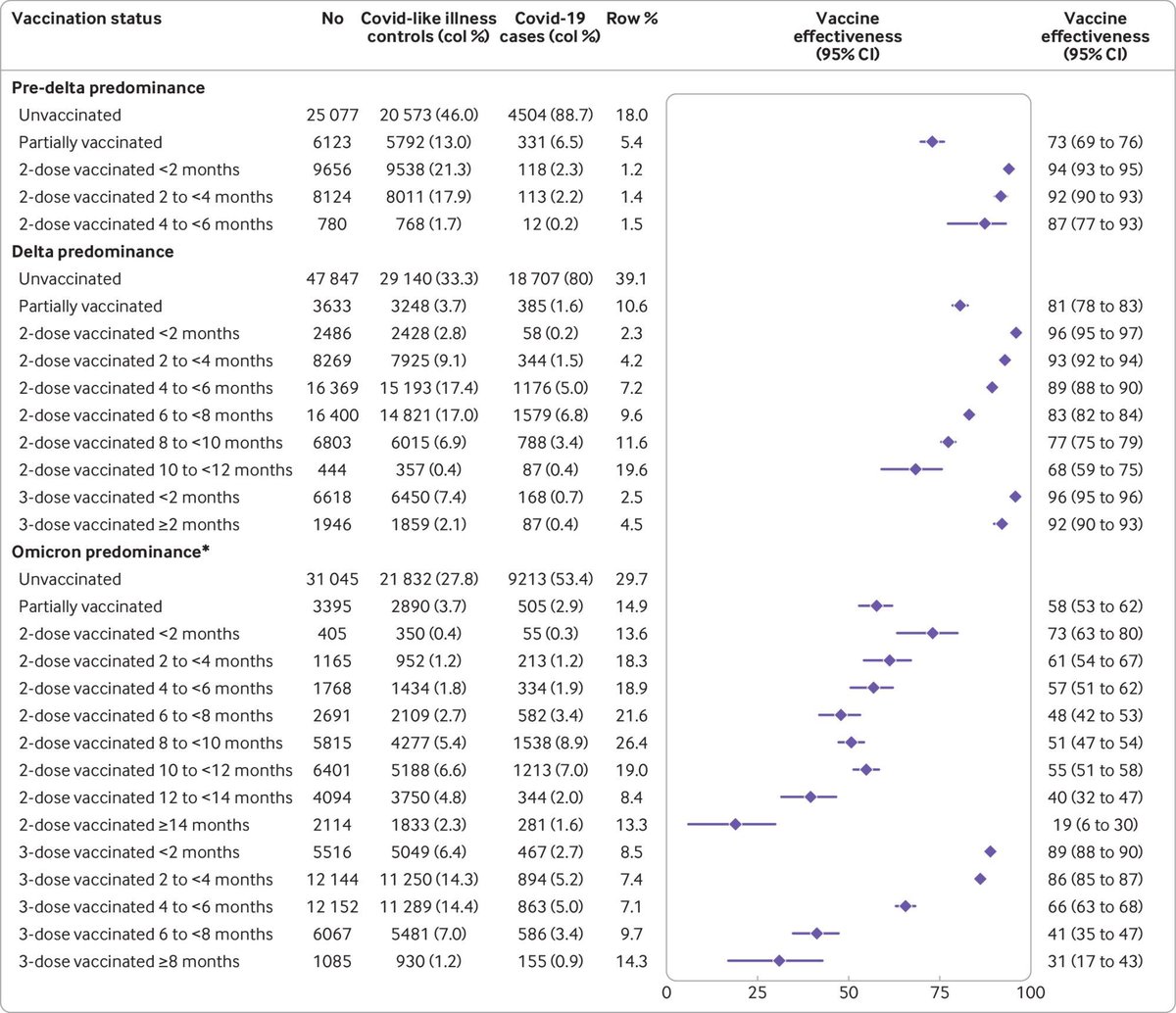
#COVID19: Nachlassende Immunität macht weitere Booster notwendig

Die Schutzwirkung einer COVID-19-Impfung vor Hospitalisierung lässt auch nach einer Boosterung relativ rasch nach. Dies zeigt eine neue Analyse des VISION-Netzwerks der…

#ImpfenSchuetzt #Corona #LongCovid Image
US-Centers for Disease Control and Prevention (CDC) im britischen Ärzteblatt BMJ die damit die Notwendigkeit weiterer Impfungen unterstreicht.
Die Ergebnisse bestätigen die geringe Wirksamkeit der Grundimmunisierung mit den beiden in den USA zugelassenen mRNA-Impfstoffen von… Image
Pfizer/Biontech und Moderna. Der Schutz vor einer Hospitalisierung betrug in den ersten 2 Monaten nach der zweite Dosis nur 73 % (gegenüber 96 % in der Delta-Welle). Die schwache Schutzwirkung der Grundimmunisierung lässt mit der Zeit weiter nach: Nach 6 bis 8 Monaten betrug…
Read 6 tweets
Oct 6
Spätfolgen für junge #COVID19-Patienten
Eine Studie des Uniklinikums Erlangen zeigt Langzeitschäden in Lungen von Kindern und Jugendlichen. Nicht an allen geht eine Infektion mit dem #SARSCoV2-Virus spurlos vorüber. Bei Kindern und Jugendlichen, die sich…

#LongCovidKids #Corona
entweder von einer Coronaerkrankung erholt haben oder aber unter #LongCovid leiden, zeigen sich in der Magnetresonanztomografie (MRT) teils anhaltende Lungenveränderungen. Mithilfe der MRT konnte das Forschungsteam die V/Q-Ratio ableiten, ein Maß für den Luft- und Blutfluss in…
der Lunge. Wenn die Lunge ordnungsgemäß funktioniert, sollten Luft- und Blutfluss übereinstimmen. Im Rahmen der Studie zeigte die V/Q-Ratio eine anhaltende Lungenfunktionsstörung sowohl bei den Kindern und Jugendlichen, die sich von COVID-19 erholt hatten, als auch bei den…
Read 5 tweets

Did Thread Reader help you today?

Support us! We are indie developers!


This site is made by just two indie developers on a laptop doing marketing, support and development! Read more about the story.

Become a Premium Member ($3/month or $30/year) and get exclusive features!

Become Premium

Don't want to be a Premium member but still want to support us?

Make a small donation by buying us coffee ($5) or help with server cost ($10)

Donate via Paypal

Or Donate anonymously using crypto!

Ethereum

0xfe58350B80634f60Fa6Dc149a72b4DFbc17D341E copy

Bitcoin

3ATGMxNzCUFzxpMCHL5sWSt4DVtS8UqXpi copy

Thank you for your support!

Follow Us on Twitter!

:(