Derzeit haben in Deutschland erst 5,8% der Bevölkerung eine vierte Impfung erhalten, und auch bei den über 60-jährigen sind es gerade mal 17,5%.
Vor diesem Hintergrund hier ein Thread mit einem Überblick…

#ImpfenSchuetzt
#COVID19
#LongCovid
#coronavirus

impfdashboard.de
…zu den Erkenntnissen aus den mittlerweile zahlreichen Studien zur Wirksamkeit der 4. Impfung.

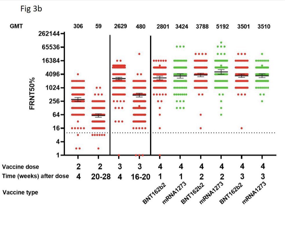
Daten zur 4. Impfung liegen derzeit aus Israel, UK, Schweden, Kanada und Deutschland vor. Ein Überblick dazu mit Verlinkungen zu den einzelnen Studien gibt es am Ende des Threads.
Die Ergebnisse der diversen Studien lassen sich wie folgt zusammenfassen:

👉 Die Daten basieren in der Regel auf Impfungen von Personen im Alter ab 60 Jahren. Aber auch Ergebnisse der vierten Impfung von jüngeren Mitarbeitern im Gesundheitswesen wurden untersucht.
👉 Eine 4. Impfung führt zu einem Anstieg der IgG- und neutralisierenden Antikörper gegen #SARSCoV2, in der Regel auf oder über das Niveau, welches nach der 3. Impfung erreicht wurde. Es war zudem ein deutlicher Anstieg der Neutralisierung von Omicron Lebendviren festzustellen.
👉 Die zweite Auffrischungsimpfung führt zu einer verstärkten Aktivierung der T-Zellen im Vergleich zur 3. Impfung. Die T-Zell-Aktivierung war unabhängig vom Alter der Probanden zu beobachten.

👉 Die humorale und zelluläre Reaktion des Immunsystems ist bereits mit drei Monaten…
…Abstand zur 3. Impfung sehr ausgeprägt, zeigt sich aber in der Regel noch stärker mit größerem Zeitraum zwischen den Impfungen.

👉 Auch die vierte Impfung mit einem mRNA Impfstoff hat eine sehr gute Verträglichkeit gezeigt.

👉 Der Schutz vor Hospitalisierung und schweren…
…Verläufen nach der 4. Impfung verbessert sich signifikant.

👉 Auch das Sterberisiko verringert sich durch die 4. Impfung nochmals deutlich gegenüber der 3. Impfung.

👉 Der Schutz vor Infektion verbessert sich nach der 4. Impfung um 30-40%, der vor symptomatischen Verläufen…
…um etwa 40-60%. Dieser zusätzliche Schutz verringert sich, wie bereits nach der 3. Impfung zu beobachten war, im Zeitablauf von 3-4 Monaten wieder deutlich.

👉 Keine der Studien liefert bislang Daten über den zusätzlichen Schutz durch die 4. Impfung vor #LongCovid. Weil…
…jedoch zumindest in den ersten 3-4 Monaten das Infektionsrisiko reduziert ist, sollte dies in diesem Zeitraum konsequenterweise auch das Risiko von #LongCovid reduzieren. Zudem wurde bereits beobachtet, dass das Risiko für #LongCovid auch mit der Schwere der Krankheitsverläufe
…korreliert. Da eine vierte Impfung auch dieses Risiko signifikant reduziert, sollte dies ebenfalls mit einer Reduktion des #LongCovid Risikos verbunden sein.

👉 Quintessenz: Die deutlich verbesserte Immunogenität, der zumindest temporär höhere Schutz vor Infektion und…
…symptomatischem Verlauf und der länger anhaltende höhere Schutz vor Hospitalisierung, schweren Verläufen und Tod sind meines Erachtens Argumente, die für klar eine 4. Impfung sprechen. Zudem ist auch von einem verbesserten Schutz vor #LongCovid auszugehen.

• • •

Missing some Tweet in this thread? You can try to force a refresh
 

Keep Current with Ralf Wittenbrink

Ralf Wittenbrink Profile picture

Stay in touch and get notified when new unrolls are available from this author!

Read all threads

This Thread may be Removed Anytime!

PDF

Twitter may remove this content at anytime! Save it as PDF for later use!

Try unrolling a thread yourself!

how to unroll video
  1. Follow @ThreadReaderApp to mention us!

  2. From a Twitter thread mention us with a keyword "unroll"
@threadreaderapp unroll

Practice here first or read more on our help page!

More from @RWittenbrink

Apr 11
Gar nicht gut: Gehirnentzündung und Lewy-Körper (s. Demenz) im Gehirn von Makaken nach SARS-CoV-2-Infektion
Postmortem-Analysen zeigten die Infiltration von T-Zellen und aktivierten Mikrogliazellen im Parenchym des Gehirns aller (!!) infizierten Tiere. 👇

#LongCovid
#COVID19
Zudem wurden in den Gehirnen der Makaken α-Synuclein-Aggregate gefunden. Die Heterogenität dieser Erscheinungen weist auf das neuropathologische Potenzial des Virus hin und sollte als Warnung vor langfristigen Gesundheitsrisiken nach einer Infektion betrachtet werden.
Hier der Link zur Studie 👇.

mdpi.com/1999-4915/14/4…
Read 5 tweets
Apr 11
Wie ist der derzeitige Rückgang bei der berichteten Inzidenz zu beurteilen? Die 7-Tages-Inzidenz ist in der vergangenen Woche (14. KW) um 24,2% gesunken. Hier die Daten vom RKI und vom Tagesspiegel 👇.

#COVID19
#FreeDummDay
#DieMaskeBleibtAuf
#Covid_19

rki.de/DE/Content/Inf… ImageImage
Um dies einordnen zu können ist ein Blick auf die Entwicklung der Anzahl der Tests notwendig. Hier die Daten der Corona-Warn-App (Vergleich 14. KW vs. 13. KW):

👉 Die Anzahl der über die CWA gemeldeten PCR-Tests ist um 393.990 bzw. 24,2% gesunken, die der Schnelltests um 21,9%. ImageImage
👉 Die Positivquote bei den PCR-Tests liegt in der 14. KW bei 63,7% (Vorwoche: 65,55%; somit ein Rückgang von lediglich 2,8%). 
👉 Die Positivquote bei den Schnelltests liegt in der 14. KW bei 8,15% (Vorwoche 7,67%; ein Anstieg von 5,76%).
👉 Der Rückgang bei den…
Read 5 tweets
Mar 20
Die „drohende Belastung des
Gesundheitssystems“, von der
@Karl_Lauterbach spricht 👇, ist
meines Erachtens sowohl rechtlich als auch ethisch vollkommen ungeeignet als Maßstab für ein Gesetz, das Gesundheit und Leben von 83 Millionen Menschen schützen soll. 1/9

#IfSG
#COVID19
Woran messen wir denn die Überlastung des Gesundheitssystems? Messen wir es an den geschlossenen OPs, die wegen #Covid nicht betrieben werden können? Messen wir das an der Zeit, um die wir die ganzen
Krebsoperationen verschieben müssen? Am Burnout oder an den Überstunden…2/9
der Pflegenden? Messen wir es an den Personalausfällen in den Krankenhäusern? Oder an der Anzahl von #LongCovid Patienten, die monatelang auf einen
Behandlungsplatz in einer Klinik warten? Die Überlastung des Gesundheitssystems ist
also eine rechtlich vollkommen
ungeeignete..3/9
Read 11 tweets
Mar 19
Zur Lage in den Kliniken. Nur etwa ein Viertel der Kliniken haben eine normale oder geringe Auslastung. 45% der Kliniken melden eine stark erhöhte Auslastung oder gar Überlastung. Die Anzahl der #COVID19 Hospitalisierungen steigt weiter auf neue Höchstwerte.

#FreeDummDay
#IfSG
Read 4 tweets
Mar 18
#COVID-Immunität nimmt bei Bewohnern von Pflegeheimen in England steil ab. „Es spricht wirklich viel für eine vierte Impfung bei über 75-Jährigen, aber die meisten der jüngeren Bevölkerung brauchen sie wahrscheinlich genauso sehr“, so der Immunologe Prof. Danny Altmann.

#COVID19
Hier der Link zum Artikel aus „The Guardian“. 👇

#ImpfenSchuetzt

theguardian.com/world/2022/mar…
Und der Link zur Studie. 👇

medrxiv.org/content/10.110…
Read 4 tweets

Did Thread Reader help you today?

Support us! We are indie developers!


This site is made by just two indie developers on a laptop doing marketing, support and development! Read more about the story.

Become a Premium Member ($3/month or $30/year) and get exclusive features!

Become Premium

Don't want to be a Premium member but still want to support us?

Make a small donation by buying us coffee ($5) or help with server cost ($10)

Donate via Paypal

Or Donate anonymously using crypto!

Ethereum

0xfe58350B80634f60Fa6Dc149a72b4DFbc17D341E copy

Bitcoin

3ATGMxNzCUFzxpMCHL5sWSt4DVtS8UqXpi copy

Thank you for your support!

Follow Us on Twitter!

:(