we are going to do a full joint optimization per-object to get FINE TUNED tracks and not janky-ass independent unconstrained tracks
the Jacobian, she is so big fam
- tracking robustness is hilariously bad, if you go behind a street sign I have no idea where you went
expectation maximization using a CRF as an augmentation to the traditional direct photometric alignment works _really_ well, and can be done in realtime no problem with a GPU.
there is a thing I want to do that should be possible with memory layout hacking but idk how to do it yet
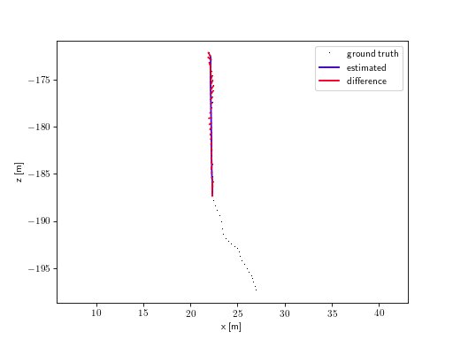
~0.12m of absolute trajectory error in the camera motion, over ~20m with only a single (!) keyframe.
very promising.
the little black dots at the end are untracked frames







