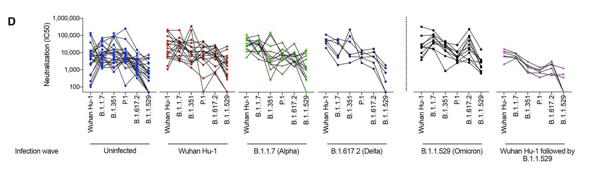
Dies ist eine äußerst wichtige Studie, die darauf hindeutet, dass eine Infektion durch frühere Varianten die schützende Immunität gegen nachfolgende Varianten verändern und sogar beeinträchtigen kann – ein Prozess, der von den Autoren als „Hybrid-Immundämpfung“…

#COVID19
…beschrieben wird. Die Studie stellt somit in Frage, dass eine „hybride Immunität“ immer besser ist und eine Infektion ein „guter Booster“ für die Impfung ist. Eine Infektion ist nicht nur mit einem ernsthaften Risiko von #LongCovid und einer schweren Krankheit verbunden…
…(trotz Auffrischung), sie kann auch die Reaktion auf zukünftige Varianten beeinträchtigen. Es ist äußerst wichtig, dies zu verstehen, da es bedeutet, dass eine Infektion plus Impfung die Immunantwort nicht unbedingt verbessert. Wenn eine frühe Infektion mit einer bestimmten…
…Variante erfolgt ist, die sich von der aktuellen unterscheidet, kann dies sogar die Reaktion auf die neue Variante dämpfen!
Leider zeigt diese Studie somit, dass auch die T-Zellen-Antworten durch #Omicron massiv beeinflusst werden. Sogar der Omicron-Durchbruch verstärkte den…
…Schutz gegen #Omicron nicht wesentlich. Omicron scheint der T-Zellen-Antwort ziemlich gut auszuweichen.
Prof. Daniel Altmann, einer der Autoren der Studie, stellt fest: "Wir bekommen keine Herdenimmunität, wir bauen keine schützende Immunität gegen Omicron auf.“ Wir müssen…
…also damit rechnen, dass wir es mit Infektionen, Reinfektionen und Durchbrüchen weitergehen kann und vorangegangene Erkrankungungen uns nicht schützen.

Der Link zur Studie:

science.org/doi/10.1126/sc…

#COVID19
#coronavirus
#LongCovid
#SARSCoV2
#CovidIsNotOver
#Covid_19
Zu den Ergebnissen der Studie hier ein informativer Artikel aus dem The Guardian:

theguardian.com/world/2022/jun…
Und ergänzend ein sehr lesenswerter Thread von Dr. Deepti Gurdasani @dgurdasani1 👇.

• • •

Missing some Tweet in this thread? You can try to force a refresh
 

Keep Current with Ralf Wittenbrink

Ralf Wittenbrink Profile picture

Stay in touch and get notified when new unrolls are available from this author!

Read all threads

This Thread may be Removed Anytime!

PDF

Twitter may remove this content at anytime! Save it as PDF for later use!

Try unrolling a thread yourself!

how to unroll video
  1. Follow @ThreadReaderApp to mention us!

  2. From a Twitter thread mention us with a keyword "unroll"
@threadreaderapp unroll

Practice here first or read more on our help page!

More from @RWittenbrink

Jun 13
Diese neue Studie untersucht, wie selbst eine milde #COVID19-Erkrankung das Gehirn beeinflussen kann. Es gibt deutliche Parallelen zwischen der zellulären Dysregulation, die nach einer Chemotherapie und einer leichten #COVID Infektion auftreten kann.

#coronavirus
#LongCovid Image
Das Verständnis der neurobiologischen Grundlagen von #LongCOVID wird die Grundlage für therapeutische Strategien zur Bewältigung dieser neurologischen Gesundheitskrise bilden

Zusammengefasst unterstreichen die Ergebnisse dieser Studie, dass die Immunantwort auch auf leichte…
#COVID19 Infektionen außerhalb des Gehirns eine Neuroinflammation und folglich eine Dysregulation der Nervenzellen verursachen kann, die die Gehirnfunktion beeinträchtigen kann. Image
Read 8 tweets
May 31
SARS-CoV-2-spezifische T-Zellen assoziieren mit Entzündungen und verminderter Lungenfunktion bei pulmonalen post-akuten Folgen von #SARSCoV2

Die Befunde dieser neuen Studie liefern Erkenntnisse, die zur Entwicklung neuer Behandlungen zur…

#COVID19
#LongCovid
#coronavirus
…Verringerung der Symptombelastung beitragen können.

Die Ergebnisse zeigen, dass T-Zellen, die spezifisch für #SARSCoV2 sind, im Blut von Personen mit pulmonalen, also die Lunge bzw. Atemwege betreffenden, post-akuten Folgen von SARS-CoV-2 (PASC) erhöht sind und mit erhöhtem…
…Interleukin-6 (IL-6), einem Zytokin, das die Entzündungsreaktionen des Organismus reguliert, sowie mit einer erhöhten systemischen Entzündung und einer verminderten Lungenfunktion einhergehen.
Die Teilnehmer der Studie zeigten verlängerte pulmonale Komplikationen wie Husten,…
Read 8 tweets
May 21
Derzeit haben in Deutschland erst 5,8% der Bevölkerung eine vierte Impfung erhalten, und auch bei den über 60-jährigen sind es gerade mal 17,5%.
Vor diesem Hintergrund hier ein Thread mit einem Überblick…

#ImpfenSchuetzt
#COVID19
#LongCovid
#coronavirus

impfdashboard.de
…zu den Erkenntnissen aus den mittlerweile zahlreichen Studien zur Wirksamkeit der 4. Impfung.

Daten zur 4. Impfung liegen derzeit aus Israel, UK, Schweden, Kanada und Deutschland vor. Ein Überblick dazu mit Verlinkungen zu den einzelnen Studien gibt es am Ende des Threads.
Die Ergebnisse der diversen Studien lassen sich wie folgt zusammenfassen:

👉 Die Daten basieren in der Regel auf Impfungen von Personen im Alter ab 60 Jahren. Aber auch Ergebnisse der vierten Impfung von jüngeren Mitarbeitern im Gesundheitswesen wurden untersucht.
Read 13 tweets
Apr 11
Gar nicht gut: Gehirnentzündung und Lewy-Körper (s. Demenz) im Gehirn von Makaken nach SARS-CoV-2-Infektion
Postmortem-Analysen zeigten die Infiltration von T-Zellen und aktivierten Mikrogliazellen im Parenchym des Gehirns aller (!!) infizierten Tiere. 👇

#LongCovid
#COVID19
Zudem wurden in den Gehirnen der Makaken α-Synuclein-Aggregate gefunden. Die Heterogenität dieser Erscheinungen weist auf das neuropathologische Potenzial des Virus hin und sollte als Warnung vor langfristigen Gesundheitsrisiken nach einer Infektion betrachtet werden.
Hier der Link zur Studie 👇.

mdpi.com/1999-4915/14/4…
Read 5 tweets
Apr 11
Wie ist der derzeitige Rückgang bei der berichteten Inzidenz zu beurteilen? Die 7-Tages-Inzidenz ist in der vergangenen Woche (14. KW) um 24,2% gesunken. Hier die Daten vom RKI und vom Tagesspiegel 👇.

#COVID19
#FreeDummDay
#DieMaskeBleibtAuf
#Covid_19

rki.de/DE/Content/Inf… ImageImage
Um dies einordnen zu können ist ein Blick auf die Entwicklung der Anzahl der Tests notwendig. Hier die Daten der Corona-Warn-App (Vergleich 14. KW vs. 13. KW):

👉 Die Anzahl der über die CWA gemeldeten PCR-Tests ist um 393.990 bzw. 24,2% gesunken, die der Schnelltests um 21,9%. ImageImage
👉 Die Positivquote bei den PCR-Tests liegt in der 14. KW bei 63,7% (Vorwoche: 65,55%; somit ein Rückgang von lediglich 2,8%). 
👉 Die Positivquote bei den Schnelltests liegt in der 14. KW bei 8,15% (Vorwoche 7,67%; ein Anstieg von 5,76%).
👉 Der Rückgang bei den…
Read 5 tweets
Mar 20
Die „drohende Belastung des
Gesundheitssystems“, von der
@Karl_Lauterbach spricht 👇, ist
meines Erachtens sowohl rechtlich als auch ethisch vollkommen ungeeignet als Maßstab für ein Gesetz, das Gesundheit und Leben von 83 Millionen Menschen schützen soll. 1/9

#IfSG
#COVID19
Woran messen wir denn die Überlastung des Gesundheitssystems? Messen wir es an den geschlossenen OPs, die wegen #Covid nicht betrieben werden können? Messen wir das an der Zeit, um die wir die ganzen
Krebsoperationen verschieben müssen? Am Burnout oder an den Überstunden…2/9
der Pflegenden? Messen wir es an den Personalausfällen in den Krankenhäusern? Oder an der Anzahl von #LongCovid Patienten, die monatelang auf einen
Behandlungsplatz in einer Klinik warten? Die Überlastung des Gesundheitssystems ist
also eine rechtlich vollkommen
ungeeignete..3/9
Read 11 tweets

Did Thread Reader help you today?

Support us! We are indie developers!


This site is made by just two indie developers on a laptop doing marketing, support and development! Read more about the story.

Become a Premium Member ($3/month or $30/year) and get exclusive features!

Become Premium

Don't want to be a Premium member but still want to support us?

Make a small donation by buying us coffee ($5) or help with server cost ($10)

Donate via Paypal

Or Donate anonymously using crypto!

Ethereum

0xfe58350B80634f60Fa6Dc149a72b4DFbc17D341E copy

Bitcoin

3ATGMxNzCUFzxpMCHL5sWSt4DVtS8UqXpi copy

Thank you for your support!

Follow Us on Twitter!

:(