, 15 tweets, 7 min read Read on Twitter
It appears the full letter from Oliver North to the NRA board we saw reporting on at the Annual Meeting has leaked along with some memos from Ack Mac and some already public disclosures like the form about which NRA-connected companies led by board members m.facebook.com/24992963567512…
Rob Pincus, one of the NRA members who spoke in favor of a no confidence vote against LaPierre & some members of the board at the Annual Meeting, has posted a link on his Instagram to the torrent that the documents came from. ftp://67.190.79.35/sda1/nra2019documents1-clean/
I've reached out to the NRA to try and confirm the authenticity of the memos that have been leaked but haven't heard back yet. I'll let you all know if/when I hear back.
The details in the leaked memos from Oliver North to the board match what was described in the New York Times during the Annual Meeting. nytimes.com/2019/04/26/bus…
It looks like @woodruffbets has been able to authenticate the leaked memos. Here's her story on their contents: thedailybeast.com/leaked-documen…
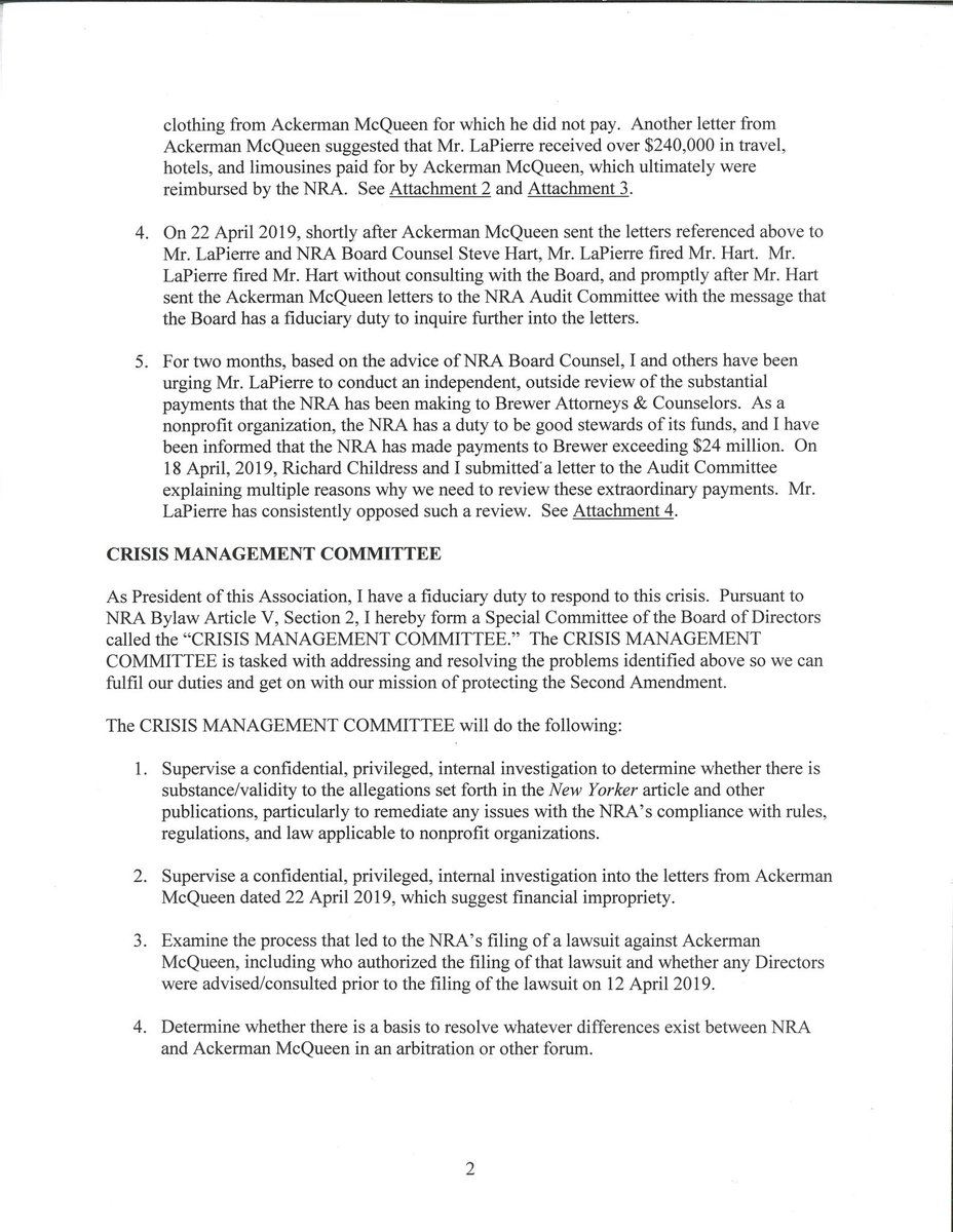
Here is the leaked memo where Oliver North announced he was forming a special crisis committee to investigate claims of financial impropriety made in a recent New Yorker piece.
Here is the Ackerman McQueen memo alleging it spent almost $275,000 of NRA money over a 13 year period at a suit store for Wayne LaPierre.
Here is the Ackerman McQueen memo alleging it spent more than $265,000 of the NRA's money on travel expenses for Wayne LaPierre. It also lists $13,804.84 worth of rent for a Megan Allen.
Here is the memo from Oliver North and Richard Childress to the board requesting a "independent, outside expert" review the amount of money the NRA is spending on legal fees for Brewer Attorneys & Counselors. They allege the group spent $24 million there in 13 months.
There's 9 pages of the North/Childress memo about Brewer. Twitter only let's me upload 4 at a time, of course.
This has all been reported before in the New Yorker, New York Times, Wall Street Journal, and Daily Beast. These are simply some of the raw documents that those reports were based on. They only represent the view from one side of the recent leadership fight-the Oliver North side.
LaPierre sent his own letter to the NRA board alleging Oliver North attempted to extort him into resigning and accusing North of hiding details of his contract with Ackerman McQueen from the board. The NYT reported on the details of that letter but it wasn't included in this leak
Oliver North ended up effectively resigning as NRA president in the middle of the Annual Meeting. Wayne LaPierre was reelected as executive vice president and CEO in the closed-door session of the board meeting that followed. A new president was also elected.
The NRA hasn't gotten back to me yet but they did tell @woodruffbets that the memo on Brewer's legal fees is innacurate but didn't detail how. The new NRA president called it stale news and said the board fully supports Lapierre.
Missing some Tweet in this thread?
You can try to force a refresh.

Like this thread? Get email updates or save it to PDF!

Subscribe to Stephen Gutowski
Profile picture

Get real-time email alerts when new unrolls are available from this author!

This content may be removed anytime!

Twitter may remove this content at anytime, convert it as a PDF, save and print for later use!

Try unrolling a thread yourself!

how to unroll video

1) Follow Thread Reader App on Twitter so you can easily mention us!

2) Go to a Twitter thread (series of Tweets by the same owner) and mention us with a keyword "unroll" @threadreaderapp unroll

You can practice here first or read more on our help page!

Follow Us on Twitter!

Did Thread Reader help you today?

Support us! We are indie developers!


This site is made by just three indie developers on a laptop doing marketing, support and development! Read more about the story.

Become a Premium Member ($3.00/month or $30.00/year) and get exclusive features!

Become Premium

Too expensive? Make a small donation by buying us coffee ($5) or help with server cost ($10)

Donate via Paypal Become our Patreon

Thank you for your support!